Предмет: Математика, автор: Аноним

Найдите решение систем уравнений или докажите что системы не имеют решений.​

Приложения:

Ответы

Автор ответа: Zombynella
9

Ответ:

В решении.

Пошаговое объяснение:

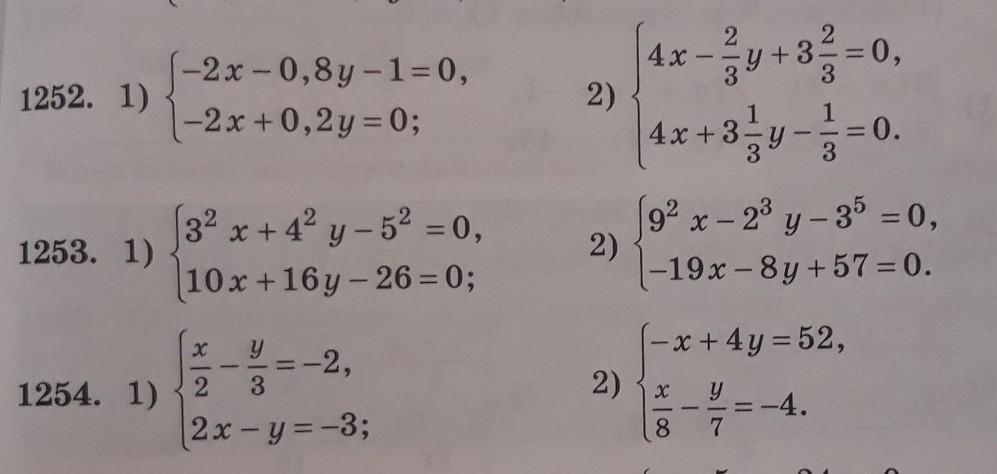
1252.

1) -2х - 0,8у - 1 = 0

  -2х + 0,2у = 0      способом сложения:

Умножить первое уравнение на -1:

2х + 0,8у = -1

-2х + 0,2у = 0

Сложить уравнения:

2х - 2х + 0,8у + 0,2у = -1

у = -1;

Теперь подставить  значение у в любое из двух уравнений системы и вычислить  х:

-2х + 0,2у = 0

-2х = -0,2*(-1)

-2х = 0,2

х = 0,2/-2

х = -0,1.

Решение системы уравнений (-0,1; -1).

Проверка путём подстановки  вычисленных значений х и у в систему уравнений показала, что данное решение удовлетворяет данной системе уравнений.

2) 4х - 2/3 у + 3 и 2/3 = 0

   4х + 3 и 1/3 у - 1/3 = 0

Упростить уравнения:

4х - 2у/3 + 11/3 = 0

4х + 10у/3 - 1/3 = 0

Умножить оба уравнения на 3, чтобы избавиться от дроби:

12х - 2у = -11

12х + 10у = 1

Умножить первое уравнение на -1, чтобы применить способ сложения:

-12х + 2у = 11

12х + 10у = 1

Сложить уравнения:

-12х + 12х + 2у + 10у = 11 + 1

12у = 12

у = 1;

Теперь подставить  значение у в любое из двух уравнений системы и вычислить  х:

12х + 10у = 1

12х = 1 - 10*1

12х = -9

х = -9/12

х = -3/4.

Решение системы уравнений (-3/4; 1).

Проверка путём подстановки  вычисленных значений х и у в систему уравнений показала, что данное решение удовлетворяет данной системе уравнений.

1253.

1) 3²х +4²у - 5² = 0

  10х + 16у - 26 = 0

9х + 16у = 25

10х + 16у = 26

Умножить первое уравнение на -1, чтобы применить способ сложения:

-9х - 16у = -25

10х + 16у = 26

Сложить уравнения:

-9х + 10х - 16у + 16у = -25 + 26

х = 1;

Теперь подставить  значение х в любое из двух уравнений системы и вычислить  у:

9х + 16у = 25

16у = 25 - 9*1

16у = 16

у = 1;

Решение системы уравнений (1; 1).

Проверка путём подстановки  вычисленных значений х и у в систему уравнений показала, что данное решение удовлетворяет данной системе уравнений.

2) 9²х - 2³у - 3⁵ = 0

  -19х - 8у + 57 = 0

81х - 8у - 243 = 0

-19х - 8у + 57 = 0

Умножить первое уравнение на -1, чтобы применить способ сложения:

-81х + 8у = -243

-19х - 8у = -57

Сложить уравнения:

-81х - 19х + 8у - 8у = -243 - 57

-100х = -300

х = -300/-100

х = 3;

Теперь подставить  значение х в любое из двух уравнений системы и вычислить  у:

-19х - 8у + 57 = 0

-8у = 19*3 - 57

-8у = 0

у = 0.

Решение системы уравнений (3; 0).

Проверка путём подстановки  вычисленных значений х и у в систему уравнений показала, что данное решение удовлетворяет данной системе уравнений.

1254.

1) х/2 - у/3 = -2

   2х - у = -3

Умножить первое уравнение на 6, чтобы избавиться от дроби:

3х - 2у = -12

2х - у = -3

Выразить у через х во втором уравнении, подставить выражение в первое уравнение и вычислить х:

-у = -3 - 2х

у = 3 + 2х;

3х - 2(3 + 2х) = -12

3х - 6 - 4х = -12

-х = -6

х = 6;

у = 3 + 2х

у = 3 + 2*6

у = 15.

Решение системы уравнений (6; 15).

Проверка путём подстановки  вычисленных значений х и у в систему уравнений показала, что данное решение удовлетворяет данной системе уравнений.

2) -х + 4у = 52

   х/8 - у/7 = -4

Умножить второе уравнение на 56, чтобы избавиться от дроби:

-х + 4у = 52

7х - 8у = -224

Выразить х через у в первом уравнении, подставить выражение во второе уравнение и вычислить у:

-х = 52 - 4у

х = 4у - 52;

7(4у - 52) - 8у = -224

28у - 364 - 8у = -224

20у = -224 + 364

20у = 140

у = 140/20

у = 7;

х = 4у - 52;

х = 4*7 - 52

х = -24.

Решение системы уравнений (-24; 7).

Проверка путём подстановки  вычисленных значений х и у в систему уравнений показала, что данное решение удовлетворяет данной системе уравнений.

Похожие вопросы
Предмет: Русский язык, автор: anastasijasolovjo3
БАЛЛОВ МНОГО!!!Помогите,пожалуйста,срочно!!! Задания на фото. ДЕЛАТЬ ЗАДАНИЯ С 9-14!!!
(1)Костя знал, где искать Чечек. (2)По хрустящей, подтаявшей тропинке он
прошёл через сад, где старые берёзы и черёмухи позванивали хрустальными
обледенелыми ветками. (3)Бурный ручей, бегущий с гор, никогда не
замерзающий, шумел и сверкал среди молчаливых берегов. (4)На высоком
берегу ручья, на поваленном бурей дереве, сидела Чечек. (5)Костя издали
увидел её шапочку с малиновой кисточкой. (6)Она сидела, угрюмо
съёжившись, в своём овчинном полушубке и, насупив тонкие брови,
сосредоточенно глядела на отдалённые, голубеющие в небе вершины. (7)«Как
снегирь сидит», – усмехнулся Костя; он подошёл и сел на дерево рядом с Чечек.
(8)Несколько секунд они молча, без улыбки смотрели друг на друга.
– (9)Кенскин, ты что? – сказала Чечек. (10)И, вспомнив, как Костин отец
при каждой встрече спрашивает: «Ну, Чечек, как твои дела?» – она, стараясь
быть вежливой, спросила:
– (11)Как твои дела, Кенскин?
– (12)Мои дела ничего, – ответил Костя, сурово поглядывая на неё, – а вот
твои, однако, никуда не годятся.
– (13)Ну, а что я сделала? – закричала Чечек, и смуглые щёки её густо
порозовели. – (14)Ну, а что? (15)Подумаешь – сочинение! (16)Что, я его у Лиды
украла, что ли?
– (17)Украла.
– (18)Нет, я её тетрадку обратно положила.
– (19)Тетрадку положила, а её труд, её мысли взяла. (20)И не притворяйся,
будто не понимаешь!
– (21)Её мысли?.. – растерянно повторила Чечек.
– (22)Да, её мысли. (23)А зачем? (24)Разве у тебя своих нет? (25)У тебя и
своих полно. (26)И вот сейчас Марфа Петровна читает два одинаковых
сочинения! (27)Придёт в класс, спросит: (28)«Кто у кого списал?» (29)Ну, что
ты тогда скажешь? (30)Вот и придётся перед всем классом признаваться.
– (31)Признаваться?
– (32)Ну да! (33)И признаешься. (34)А как же? (35)Однако хорошо ли это
тебе будет?
– (36)Совсем плохо… – прошептала Чечек.
– (37)Конечно, совсем плохо, – сказал Костя. – (38)Но то, что ты сделала,
ещё хуже. (39)Ну, да ничего, умела споткнуться – умей и на ноги встать.
(40)Помолчав, Чечек сказала:
– (41)Если бы никто не знал, тогда бы получше было. (42)Правда,
Кенскин?
– (43)Нет, – ответил Костя, – всё равно так же плохо: сочинение-то ведь
краденое. (44)Чечек опустила голову и, оттопырив пухлые губы, молча
перебирала шёлковую малиновую кисточку, которая спадала ей на плечо.
– (45)Знаешь что, – подумав, сказал Костя, – зайди к Марфе Петровне и всё
ей объясни. (46)И совсем нечего тут сидеть одной: подруги тебя ищут, так что
вставай, беги!
(47)Костя встал, и Чечек вскочила, хватая портфель:
– (48)Кенскин, я к Марфе Петровне пойду и всё расскажу! (49)А потом
возьму да новое сочинение напишу – правда, Кенскин?
(50)Костя искоса поглядел на её повеселевшее лицо и чуть-чуть
усмехнулся:
– (51)Эх ты, бурундук!
– (52)Хо, бурундук! – засмеялась Чечек. – (53)А что, у меня разве на спине
полоски есть? (54)Меня медведь не гладил!
(55)Чечек, подпрыгивая, побежала по дорожке. (56)А Костя шёл медленно
и тёплыми голубыми глазами задумчиво глядел на синие кусочки неба,
светящиеся среди облаков, на склоны гор с обнажившимися камнями, на тихие
лиственницы, которые, словно творя великую тайну, уже гнали к вершинам
живые соки и готовили материал для своих пурпуровых шишечек, чтобы успеть
вовремя нарядиться и торжественно встретить весну.
(По Л.Ф. Воронковой*)
*Любовь Фёдоровна Воронкова (1906−1976) − советская писательница, автор
многих детских книг и цикла исторических повестей для детей.