Предмет: Физика,
автор: Spivakovdima
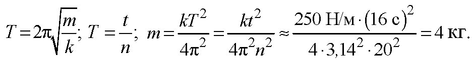
Найдите массу груза, который на пружине жесткостью 250 h/m делает 20 колебаний за 16 секунд?
Ответы
Автор ответа:
0
Дано:k=250H/м ,n=20, t=16c
Найти:m
Ответ:4 кг
Найти:m
Ответ:4 кг
Приложения:
Похожие вопросы
Предмет: Обществознание,
автор: bananer228
Предмет: Физика,
автор: Аноним
Предмет: Математика,
автор: Аноним
Предмет: Алгебра,
автор: alexeykemper
Предмет: Физика,
автор: диман000