Предмет: Алгебра,
автор: Lerusik450
Помогите пожалуйста !Заранее спасибо!
Вкладка фотографии.
Приложения:
Ответы
Автор ответа:
0
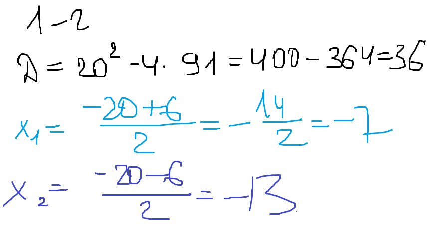
1 задание, все примеры
Приложения:
Автор ответа:
0
2) а-ширина,b-длина

Приложения:
Похожие вопросы
Предмет: Русский язык,
автор: zfarizunova
Предмет: Английский язык,
автор: asselfa
Предмет: Литература,
автор: dinaraluyueva
Предмет: Математика,
автор: bugakov