Предмет: Математика,
автор: Аноним
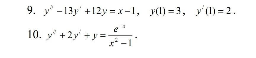
помогите с диф уравнениями
Приложения:
Ответы
Автор ответа:
0
Ответ:
решение на фотографиях
Приложения:
Похожие вопросы
Предмет: Қазақ тiлi,
автор: Shynar80
Предмет: Другие предметы,
автор: настя1764
Предмет: Русский язык,
автор: МарьнаРо105
Предмет: Математика,
автор: paukaw121