Предмет: Алгебра,
автор: Polzovotel
Даю 80 баллов Помогите пж решить уравнение все в файле
Приложения:
Ответы
Автор ответа:
1
Ответ:
x=-1, y=3
Объяснение:
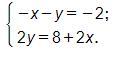
1)-х-y=-2
2)2y=8+2x
1)x=2-y 1)x=2-y 1)x=2-y 1)x=-1
2)2y=8+2(2-y) 2) 2y=8+4-2y 2) 2y+2y=12 2) y=3
Polzovotel:
Спасибо !
Похожие вопросы
Предмет: Русский язык,
автор: Аноним
Предмет: Английский язык,
автор: Аноним
Предмет: Русский язык,
автор: Юляпуя
Предмет: Русский язык,
автор: anastasizka
Предмет: Математика,
автор: АлиеваАлиса