Предмет: Математика,
автор: andreystarostin1990
очень срочно,буду очень благодарен!!!!
Приложения:
Ответы
Автор ответа:
0
Ответ:
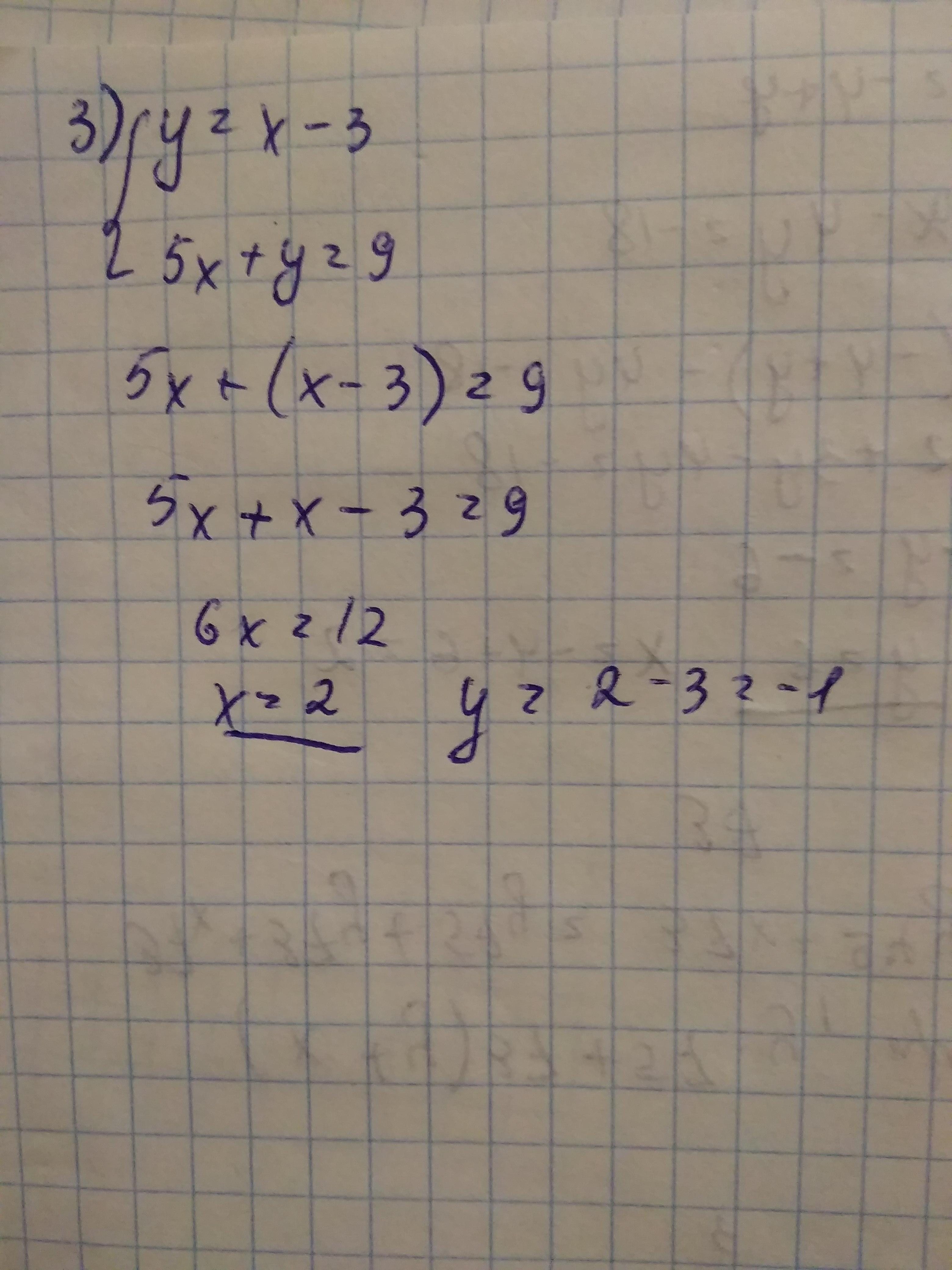
1) у=5,х=-1; 2) у=6,х=2; 3)х=2,у=-1
Пошаговое объяснение:
Пока только 3 задания
Приложения:
Похожие вопросы
Предмет: Русский язык,
автор: aygun3
Предмет: Русский язык,
автор: Ви8ктория
Предмет: Английский язык,
автор: никита625
Предмет: Английский язык,
автор: единорожка50