Предмет: Алгебра, автор: math52

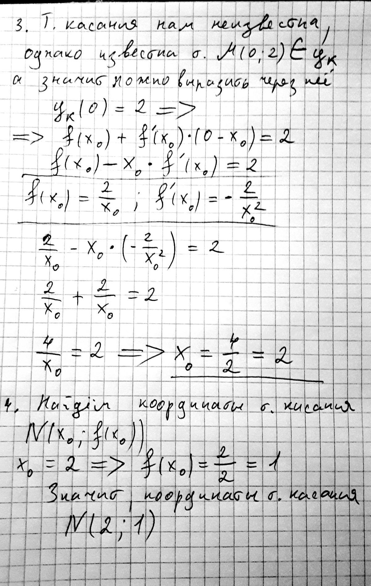
Составьте уравнение касательной к графику функции y= 2/x, проходящей через точку М (0; 2).​


Vopoxov: Через подобные треугольники. Если образно - проведи среднюю линию, опусти перпеедикуляры на основание с середин сторон
Vopoxov: получишь посередке прямоугольник, а с боков и сверху треугольники. И это все склвдывается как конвертик
Vopoxov: Т.е. площадь покрытая этим прямоугольникком и непокрытая прямоугольником равны. А если по другому прямоугольник обознвчить - площади треугольников будут перекрыватьс запасом наш прямоугольникк
Vopoxov: Точно и корректно доказывать - вот чесслово, лень...)
Vopoxov: ты уж сорри
math52: блин, а надо точно
Vopoxov: я так полагаю, надо не совсем мне... ИМХО, я все же вполне значимо с тобой пообщался?
Vopoxov: Я просто - пас, дальше сам. Не обидел я тебя этим?
math52: удачи.
Vopoxov: Такая точка в конце фразы, кстати, говорит о твоем отношении к ситуации. Но - рад, что без негатива в комментариях. Тебе - удачи и инсайтов!

Ответы

Автор ответа: Vopoxov
9

Ответ:

y_{kac}= -\frac{1}{2}x + 2

Решение - см. в приложенных файлах

Приложения:

Vopoxov: Все ли тебе тут понятно?
math52: да
Vopoxov: слушай, если это не в тягость, шмякни кнопку "лучшее решение" - а то у меня оказывается уже 19 из 20ти лучших за неделю. Повысить грозятся)
math52: ок, но пока что этой кнопки нет
Vopoxov: да не вопрос - ваще не парься. Говорю же - не в тягость если. Мне так, из любопытства "табели о рангах" "для галочки"
Похожие вопросы
Предмет: Английский язык, автор: violadivnyi