Предмет: Алгебра,
автор: hdhshau
ПОМОГИТЕ ПЖ СРОЧНО!!!
Приложения:
Ответы
Автор ответа:
2
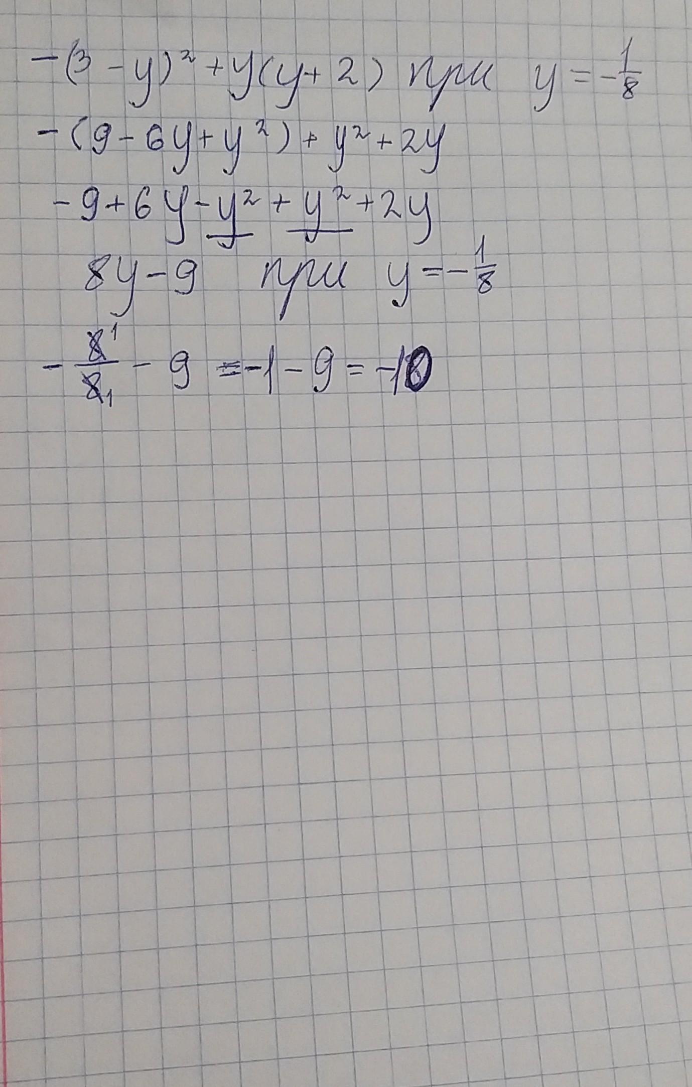
Ответ:
-10
......................
Приложения:
Похожие вопросы
Предмет: Русский язык,
автор: наирочка1
Предмет: Русский язык,
автор: Ania261997
Предмет: Русский язык,
автор: Аноним
Предмет: Русский язык,
автор: Bormadov
Предмет: Қазақ тiлi,
автор: Настик2018