Предмет: Алгебра,
автор: imargarita3728
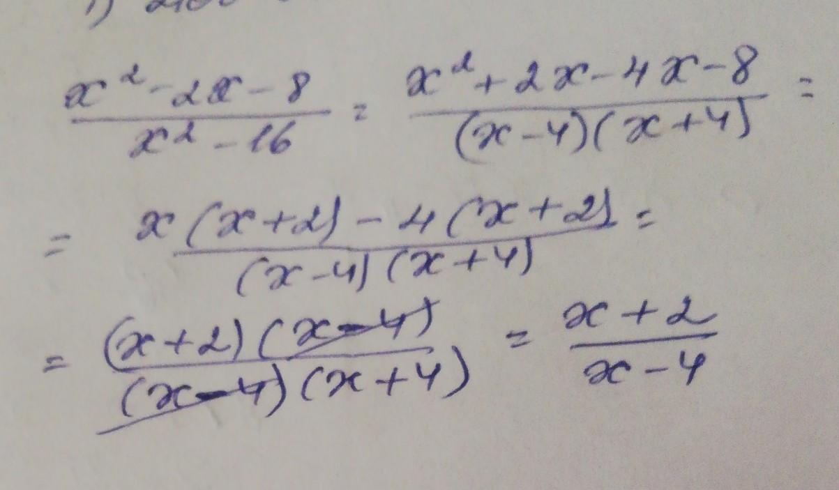
скоротіть дріб х²-2х-8/х²-16
Ответы
Автор ответа:
0
Відповідь:
Пояснення: фото
Приложения:
Автор ответа:
1
Ответ:
Смотри решение на фото
Приложения:
Похожие вопросы
Предмет: Русский язык,
автор: Anatoly1337
Предмет: Окружающий мир,
автор: Белка1979
Предмет: Другие предметы,
автор: 200802112011
Предмет: Английский язык,
автор: DimaWolk
Предмет: Русский язык,
автор: lera0674