Предмет: Алгебра,
автор: hk74
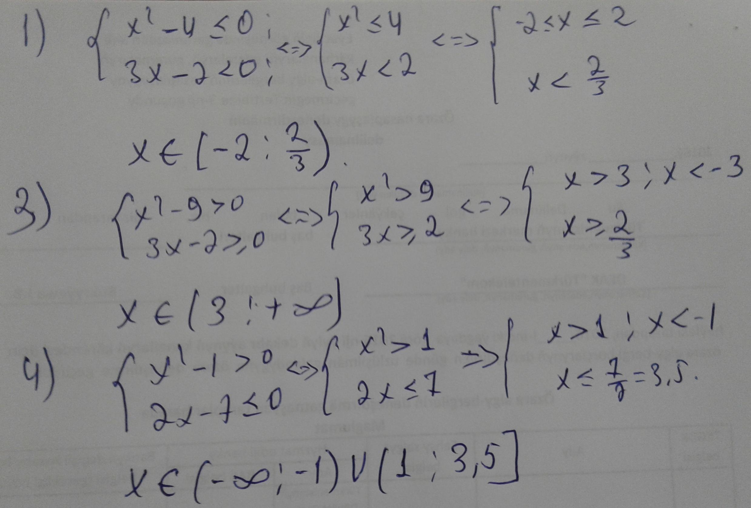
решите системы неравенство(1,3,4) плз
Приложения:
Ответы
Автор ответа:
0
Ответ:
Объяснение:
решено системы неравенство(1,3,4)
Приложения:
hk74:
спасибо большое
Похожие вопросы
Предмет: Другие предметы,
автор: даша45671
Предмет: Русский язык,
автор: krivoguz
Предмет: Английский язык,
автор: TheStepan23
Предмет: История,
автор: BobbyCrabs
Предмет: Английский язык,
автор: артём2949657473916