Предмет: Математика, автор: Ternov21

Выполнить примеры.
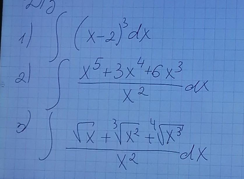
тт​

Приложения:

Ответы

Автор ответа: Miroslava227
2

Ответ:

1.

\int\limits {(x - 2)}^{3} dx =  \int\limits{(x - 2)}^{3} d(x - 2) =  \\  =  \frac{ {(x - 2)}^{4} }{4} +  C

2.

\int\limits \frac{ {x}^{5}  + 3 {x}^{4} + 6 {x}^{3}  }{ {x}^{2} } dx =\int\limits ( {x}^{3} + 3 {x}^{2} + 6x)  dx =  \\  = ( \frac{ {x}^{4} }{4}  + 3  \times  \frac{ {x}^{3} }{3} +  \frac{6 {x}^{2} }{2}  +   C=  \frac{ {x}^{4} }{4}  +  {x}^{3}  + 3 {x}^{2}  + C

3.

\int\limits \frac{ \sqrt{x}  +  \sqrt[3]{ {x}^{2} }  +  \sqrt[4]{ {x}^{3} } }{ {x}^{2} } dx = \int\limits \frac{ {x}^{ \frac{1}{2} }  +  {x}^{ \frac{2}{3} } +  {x}^{ \frac{3}{4} }  }{ {x}^{2} } dx =  \\  = \int\limits( {x}^{ \frac{1}{2} - 2 } +  {x}^{ \frac{2}{3}  - 2} +  {x}^{ \frac{3}{4} - 2 })   dx =\int\limits( {x}^{ -  \frac{3}{2} }  +  {x}^{ -  \frac{4}{3} }  +  {x}^{ -  \frac{5}{3} } ) dx =  \\  =  \frac{ {x}^{ -  \frac{1}{2} } }{ -  \frac{1}{2} } +  \frac{ {x}^{ -  \frac{1}{3} } }{( -  \frac{1}{3}) }  +  \frac{ {x}^{ -  \frac{2}{3} } }{( -  \frac{2}{3} )} +   C=  \\  =  -  \frac{2}{ \sqrt{x} } -  \frac{3}{ \sqrt[3]{x} } -  \frac{3}{2 \sqrt[3]{ {x}^{2} } }  +   C


Ternov21: https://znanija.com/task/44268110?utm_source=android&utm_medium=share&utm_campaign=question
NNNLLL54: в 3 примере неверно
Автор ответа: NNNLLL54
0

Ответ:

\int (x-2)^3\, dx=[\ t=x-2\ ,\ dx=dt\ ]=\int t^3\, dt=\dfrac{t^4}{4}+C=\dfrac{(x-2)^4}{4}+C

2)\ \ \int \dfrac{x^5+3x^4+6x^3}{x^2}\, dx=\int (x^3+3x^2+6x)\, dx=\dfrac{x^4}{4}+x^3+3x^2+C\\\\\\3)\ \ \int \dfrac{\sqrt{x}+\sqrt[3]{x^2}+\sqrt[4]{x^3}}{x^2}\, dx=\int (x^{-\frac{3}{2}}+x^{-\frac{4}{3}}+x^{-\frac{5}{4}})\, dx=\\\\=\dfrac{x^{-\frac{1}{2}}}{-\frac{1}{2}}+\dfrac{x^{-\frac{1}{3}}}{-\frac{1}{3}}+\dfrac{x^{\frac{1}{4}}}{-\frac{1}{4}}+C=-\dfrac{2}{\sqrt{x} }-\dfrac{3}{\sqrt[3]{x}}-\dfrac{4}{\sqrt[4]{x}} +C


Ternov21: https://znanija.com/task/44589834?utm_source=android&utm_medium=share&utm_campaign=question
NNNLLL54: за этот ответ ещё даже спасибо не нажал ...
Похожие вопросы
Предмет: Русский язык, автор: nastenkalitvinova
Предмет: Русский язык, автор: EKLEMENTIEVA
Предмет: Математика, автор: Димка1236