Предмет: Алгебра, автор: Аноним

СРОЧНО 75 БАЛОВ
Умоляю помогите сам не могу решить линейное уравнение способом сложения желательно с объяснением 1) 3х-у=1 и 3х+8у=19
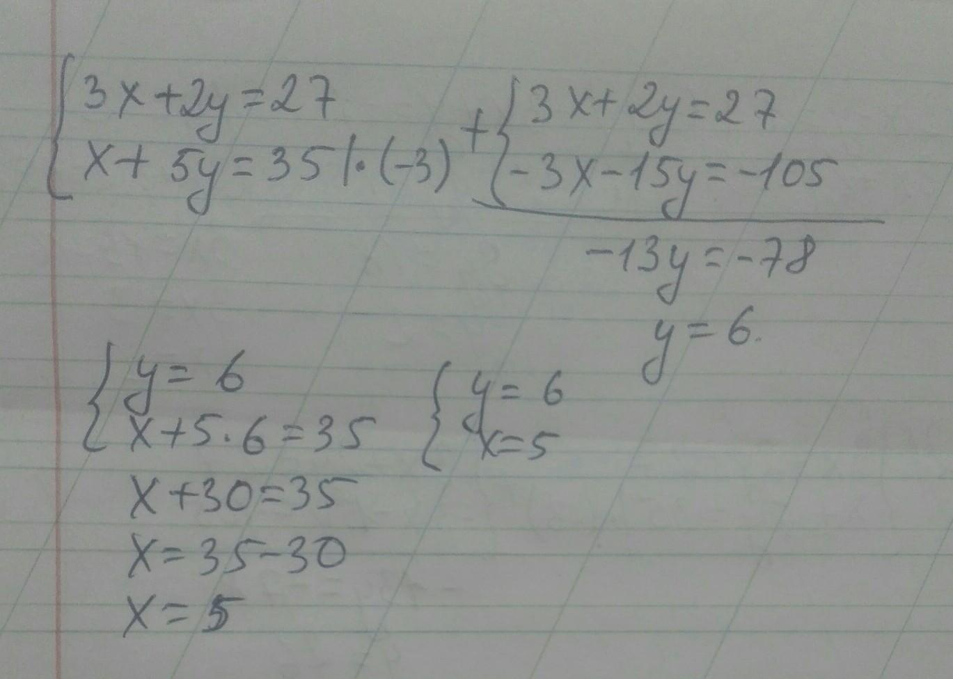
2) 3х+2у=27 и х+5у=35 |•3
Пожалуйста помогите

Ответы

Автор ответа: Universalka
1

1)\left \{ {{3x-y=1}|*(-1) \atop {3x+8y=19}} \right. \\\\+\left \{ {{-3x+y=-1} \atop {3x+8y=19}} \right.\\-------\\ 9y=18\\\\y=2\\\\3x=y+1=2+1=3\\\\x=1\\\\Otvet:\boxed{(1 \ ;  \ 2)}}

2)\left \{ {{3x+2y=27} \atop {x+5y=35}|*(-3)} \right.\\\\+\left \{ {{3x+2y=27} \atop {-3x-15y=-105}} \right.\\ --------\\-13y=-78\\\\y=6\\\\x=35-5y=35-5*6=35-30=5\\\\Otvet:\boxed{(5 \ ; \ 6)}

Автор ответа: s1051966
2

Ответ:

линейное уравнение способом сложения желательно с объяснением 1) 3х-у=1 и 3х+8у=19

2) 3х+2у=27 и х+5у=35 |•3

Приложения:
Похожие вопросы
Предмет: История, автор: Лизуня136
Предмет: Математика, автор: ilona2000ne