Предмет: Алгебра,
автор: fujybz
срочно!! 23.4 надо решить, пожалуйста
Приложения:
Ответы
Автор ответа:
3
Ответ:
Объяснение:
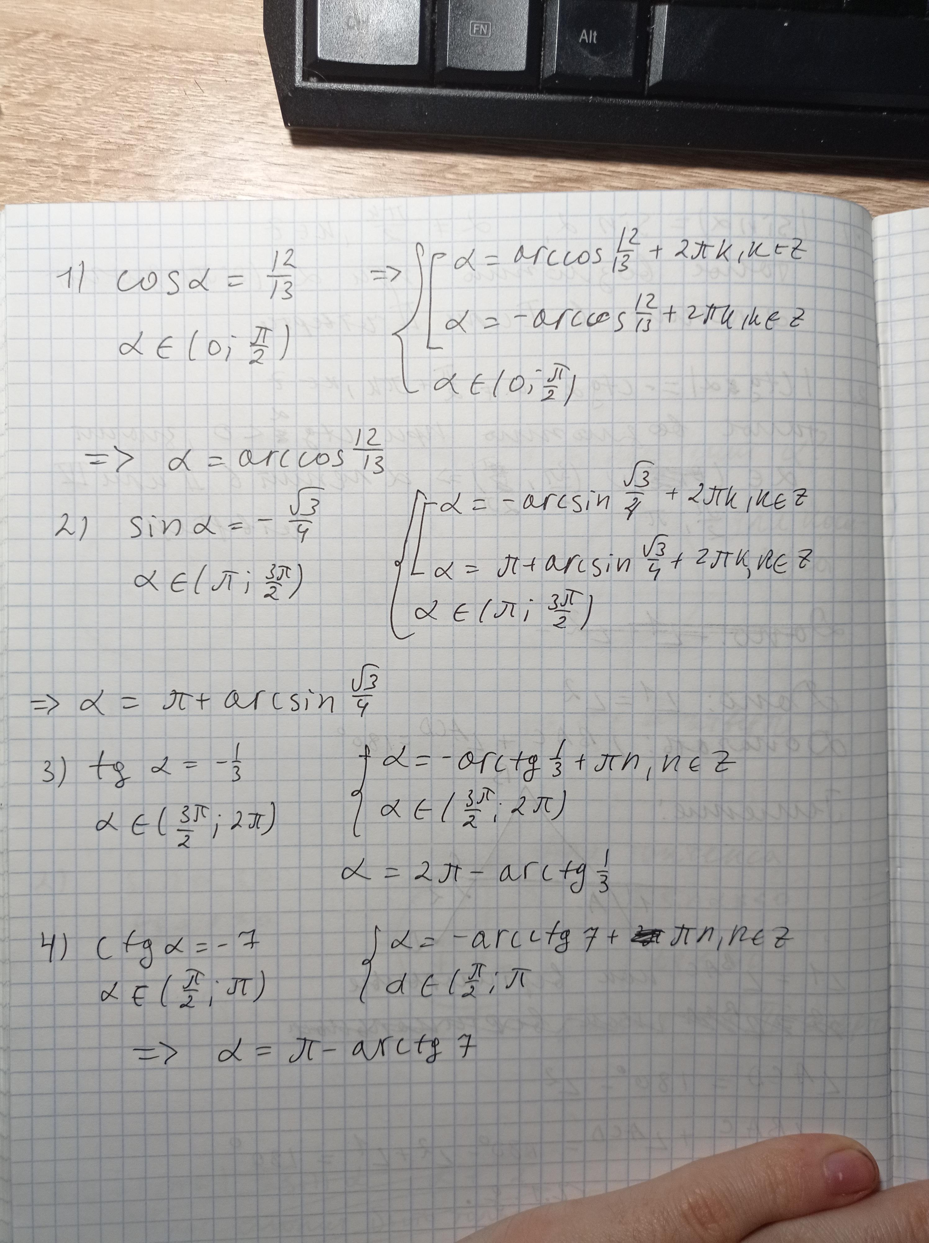
Смотри фото
Приложения:
Автор ответа:
2
Ответ:
1) α = arccos () + 2πn, n ∈ Z
2) α = arcsin (-) + 2πn, n ∈ Z
3) α = arctg (- ) + πn, n ∈ Z
4) α = π - arcctg (-7) + πn, n ∈ Z
Похожие вопросы
Предмет: Английский язык,
автор: Лиза13131547
Предмет: Русский язык,
автор: iwannatsursk
Предмет: Русский язык,
автор: inmeteli
Предмет: Математика,
автор: Растишка132123214