Предмет: Алгебра,
автор: deniska20062017
помогите пожалуйста!!!
100 баллов даю!!
Приложения:
Ответы
Автор ответа:
1
Ответ:
Объяснение:
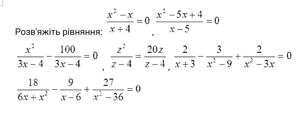
Смотри фото
Приложения:
deniska20062017:
лучший!!! спасибо ❤️
Похожие вопросы
Предмет: Русский язык,
автор: typouarbyz
Предмет: Русский язык,
автор: каток450712
Предмет: Русский язык,
автор: elenin2005
Предмет: Русский язык,
автор: kapitank777
Предмет: Русский язык,
автор: Stewie2KK