Предмет: Математика, автор: petim91350

Решить с решением уравнения

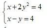
Приложения:

Ответы

Автор ответа: cernyjkrokodil
1

Ответ:

.........................

Приложения:
Похожие вопросы
Предмет: Другие предметы, автор: Аноним
Предмет: Русский язык, автор: goschavorobjev
Предмет: Английский язык, автор: art181
Предмет: История, автор: dexpsnakep6p3dg
"Советский Союз в первые послевоенные десятилетия"

1. Международное положение и внешняя политика СССР в 1945—1953 гг. характеризовали:

а) установление контроля СССР над Черноморскими проливами

б) оказание СССР экономической помощи коммунистическим странам Восточной Европы

в) включение в состав СССР новых территорий

г) установление отношений дружбы и партнерства СССР и США

2. К основным принципам и направлениям внешней политики СССР после войны можно отнести:

А, Борьбу за обретение статуса мировой державы

Б, Всемерную поддержку национально-освободительных движений

а) верно только А в) верны и А, и Б

б) верно только Б г) оба суждения неверны

3. Установите правильное соответствие:

а) 1945 г. 1. Разрыв СССР с Югославией

б) 1947 г. 2. Требование СССР о совместном с Тур-

цией контроле над Черноморскими проливами

в) 1948 г. 3. Создание СЭВ

г) 1949 г. 4. Создание Коминформа

5. Предложение СССР о мирном объединении Германии

4. Для советской экономики в 1945—1953 гг. были характерны следующие черты:

а) начало ликвидации колхозов и совхозов

б) отмена карточной системы распределения

в) восстановление частной собственности

г) отмена обязательных сверхурочных работ

5. В 1945 г. в СССР осуществлялся постепенный переход на мирные рельсы:

А. Была отменена смертная казнь

Б. Совет народных комиссаров был преобразован в Совет министров СССР

а) верно только А в) верны и А, и Б

б) верно только Б г) оба суждения неверны

6. Причинами тяжелого положения в послевоенной советской деревне являлись:

а)сильная засуха

б) неблагоприятная демографическая ситуация

в) искусственное поддержание низких закупочных цен на сельскохозяйственную продукцию

г) многочисленные диверсии, совершаемые бывшими сторонниками власти гитлеровцев

7. За годы четвертой пятилетки СССР удалось:

А. Превзойти довоенные показатели экономического развития страны

Б. По производству товаров пищевой, легкой промышленности на душу населения впервые в своей истории войти в двадцатку самых развитых стран мира

а) верно только А в) верны и А, и Б

б) верно только Б г) оба суждения неверны

8. «Дело врачей» было сфабриковано в:

а) 1948 г. в) 1951 г.

б) 1949 г. г) 1953 г.

9. XIX съезд ВКП (б):

А. Проходил в 1952 г.

Б. Утвердил новое название партии — КПСС

а) верно только А в) верны и А, и Б

б) верно только Б г) оба суждения неверны

10. Главой Совета министров СССР после смерти Сталина стал:

а) Л.М. Каганович

б) Г.М. Маленков

в) Н.С. Хрущев

г) Л.П. Берия

11. В докладе Н.С. Хрущева на XX съезде КПСС «О культе личности и его последствиях»:

А. Затрагивался вопрос о насильственной коллективизации 1930-х гг., ставилась под сомнение обоснованность репрессий против так называемой «троцкистско-зиновьевской» и «правой» оппозиций

Б. Анализировался феномен сталинизма, характер политической системы страны

а) верно только А в) верны и А, и Б

б) верно только Б г) оба суждения неверны

12. Расположите события конца 1952—1955 гг. в хронологической последовательности:

а) начало освоения целины

б) смерть Сталина

в) начало «дела врачей»

г) арест Л.П. Берии

д) XIX съезд КПСС

13. Внешняя политика СССР в 1953—1964 гг. характеризовалась:

а) ухудшением отношений с Китаем

б) экономической помощью странам «третьего мира»

в) произраильской ориентацией на Ближнем Востоке

г) признанием неизбежности третьей мировой войны

14. Карибский кризис имел место в

а) 1960 г.

б) 1961 г.

в) 1962 г.

г) 1963 г.

15. Политическое развитие СССР во второй половине 50-х гг. характеризовали:

а) официальное осуждение культа личности Сталина

б) ликвидация «антипартийной группы» Маленкова, Молотова, Кагановича

в) волна политических арестов за резкую критику советской политической системы

г) перенесение критики с личных качеств Сталина на сталинскую систему

16. На XXI съезде КПСС:

А. Была поставлена задача за десятилетие догнать и обогнать самую развитую страну мира — США по основным показателям производства промышленной и аграрной продукции на душу населения

Б. Была принята новая Программа партии

а) верно только А в) верны и А, и Б

б) верно только Б г) оба суждения неверны

17. Экономическая политика Хрущева в области сельского хозяйства была направлена на:

а) укрупнение колхозов

б) сокращение посевных площадей
в)" развитие семейных ферм

г) принудительное преобразование части колхозов в совхозы

18. Социальную политику СССР в 1953—1964 гг. характеризовало:

а) установление государственных пенсий колхозникам

б) сокращение продолжительности рабочей недели

в) увеличение пенсионного возраста

г) сохранение обязательной подписки на государственные займы

19. К чертам кризиса политики Н.С. Хрущева можно отнести:

а) массовое забастовочное движение в крупнейших городах СССР

б) недовольство партийного аппарата нестабильностью своего положения

в) заговор военных, недовольных слабостью, проявленной в момент Карибского кризиса

г) ухудшение продовольственного снабжения