Предмет: Математика,
автор: bedelovanadya
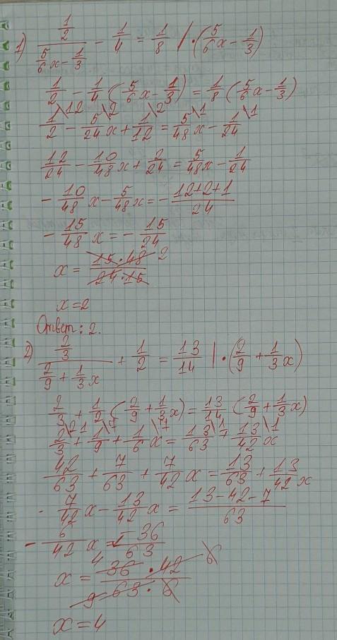
1247. Решите уравнение.
1
1
1
2
2)
1) 5
2
3
1 13
+
2
1 2 14
+ - x
9 3.
—
1 4
8
Приложения:
Ответы
Автор ответа:
6
Ответ:
1) x=2
2) x=4
Пошаговое объяснение:
Всё в фотографии.
Удачи☘.
Приложения:
zansaakimbaeva:
спасибо большое!
خيخيحينسااسهقخبمبميم
Похожие вопросы
Предмет: Русский язык,
автор: Анюта1247
Предмет: Английский язык,
автор: albinkaefimova
Предмет: Другие предметы,
автор: polina301
Предмет: Математика,
автор: tereschenkomaria