Предмет: Алгебра,
автор: Tamara020971
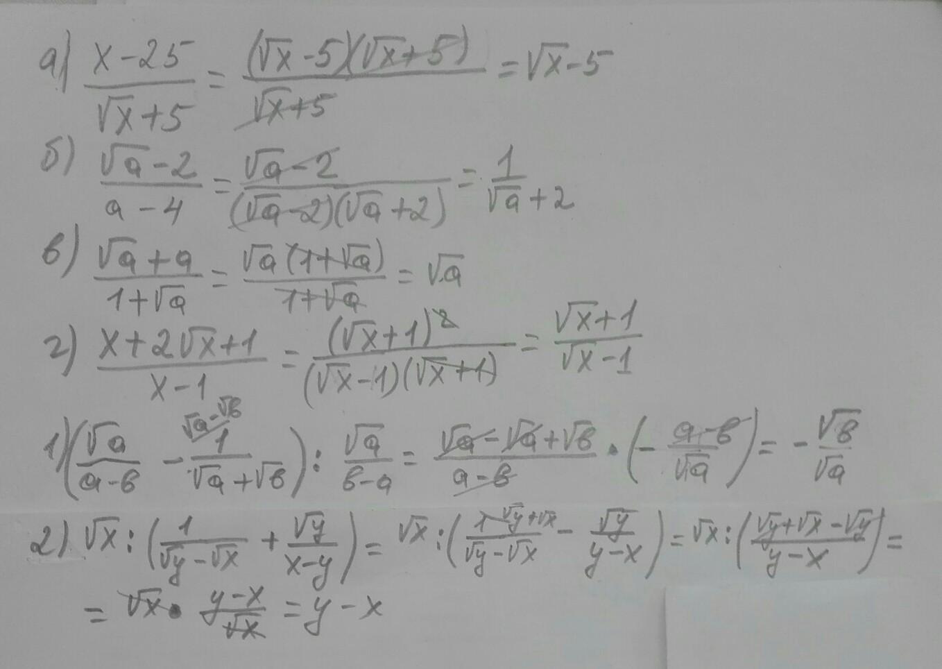
Очень СРОЧНО!!!! Помогите пожалуйста!!!
Пожалуйста, с подробным решением.
Заранее Вам спасибо!!!!
Приложения:
Tamara020971:
Нужны в первом задании только : в) и г) и второе полностью. Пожалуйста... Заранее спасибо!!!
Ответы
Автор ответа:
1
Ответ:
сократить дробь
ответы
Приложения:
Похожие вопросы
Предмет: Русский язык,
автор: 123456789191
Предмет: Русский язык,
автор: Brainly111
Предмет: Русский язык,
автор: Ульяна20101
Предмет: Математика,
автор: 111qwe
Предмет: Химия,
автор: sonyabelova203