Предмет: Математика,
автор: liulo
буду очень благодарна,если поможете!!
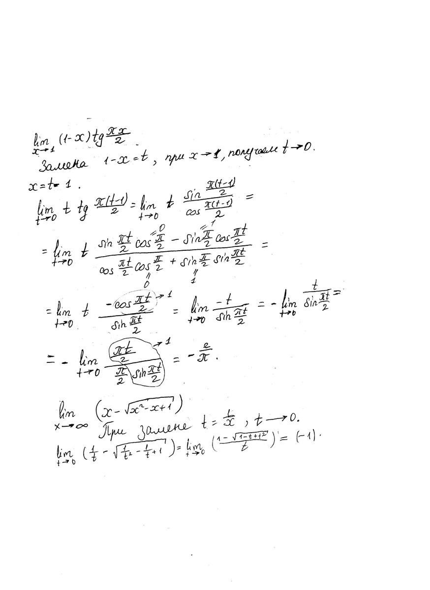
найти предел lim




![lim_{x to infty} (x- sqrt[]{ x^{2} -x+1} ) lim_{x to infty} (x- sqrt[]{ x^{2} -x+1} )](https://tex.z-dn.net/?f=+lim_%7Bx+to+infty%7D+%28x-++sqrt%5B%5D%7B+x%5E%7B2%7D+-x%2B1%7D++%29)
![lim_{x to+ infty} frac{4x+ sqrt[3]{x} }{ sqrt{x} -2x} lim_{x to+ infty} frac{4x+ sqrt[3]{x} }{ sqrt{x} -2x}](https://tex.z-dn.net/?f=+lim_%7Bx+to%2B+infty%7D++frac%7B4x%2B+sqrt%5B3%5D%7Bx%7D+%7D%7B+sqrt%7Bx%7D+-2x%7D+)
Ответы
Автор ответа:
0
Смотри во вложениях. Надеюсь не поздно. Может не все понятно, тогда напиши. Удачи
Приложения:
Похожие вопросы
Предмет: Қазақ тiлi,
автор: cingisberikov09
Предмет: ОБЖ,
автор: Pomogitess
Предмет: Математика,
автор: 5452646
Предмет: Математика,
автор: makar159123
Предмет: Химия,
автор: nastysha96