Предмет: Алгебра,
автор: dak72
Разложить многочлен на множители
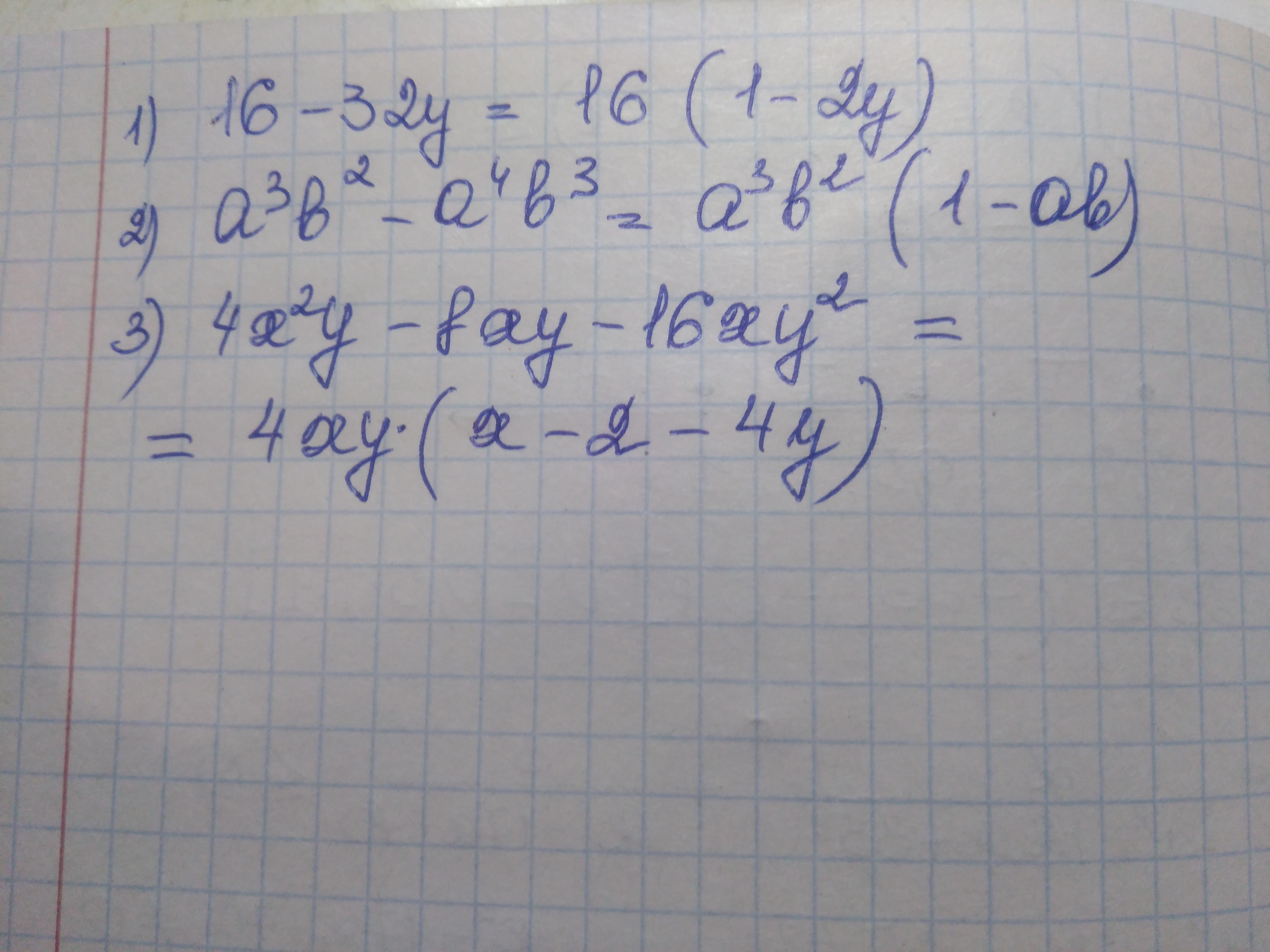
16-32y
a^3b^2-a^4b^3
4x^2y-8yx-16xy^2
Ответы
Автор ответа:
1
Смотри...............
Приложения:
Похожие вопросы
Предмет: Русский язык,
автор: katerina163rus
Предмет: Окружающий мир,
автор: anyasmaylik95
Предмет: Русский язык,
автор: majirinn
Предмет: Математика,
автор: 4798293
Предмет: Математика,
автор: мама1233