Предмет: Математика,
автор: yanainstyanull
пожалуйста очень срочно нужно
математика 5 класс
даю 11 балов
Приложения:
Ответы
Автор ответа:
0
Ответ:
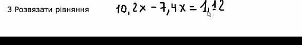
-6,1-2,3= -8,4
Пошаговое объяснение:
Darovo12225:
ой не то
сори
Похожие вопросы
Предмет: Окружающий мир,
автор: Elo30
Предмет: Другие предметы,
автор: алексей267
Предмет: Русский язык,
автор: лика951
Предмет: Русский язык,
автор: denik20071
Предмет: Математика,
автор: артём999999991