Предмет: Математика, автор: Аноним

помогите пожалуйста математика 11 класс​

Приложения:

Ответы

Автор ответа: nikakovalskaya
1

Ответ:

p (a)=  \frac{m}{n}

P - ймовірність.

A - подія.

m - кількість умов, що сприяють події А (сприятливих).

n - загальна кількість подій (всі можливі).

1. Г 0, 375

p(a) =  \frac{15}{25 + 15}  =  \frac{15}{40}  = 0.375

2. В 0,6

p(a) =  \frac{6 + 9}{6 + 9 + 10} =  \frac{15}{25}   = 0.6

3. В 4

На перше місце (десятків) можна поставити лише дві цифри: 2 або 4 (нуль не можна).

На друге місце (одиниць) - також дві цифри: ту, що залишилась і нуль.

Маємо: 2*2=4

4. Д 5

5. Г 3

Примітка: Розв'язання завдань 4 і 5 є на одній з фотографій. Упущений процес розв'язування рівнянь.

6. Чотири цілих п'ять шостих (°С).

 \frac{4 \times 2 + 5 \times 3 + 6}{6}  =  \frac{29}{6}  = 4 \frac{5}{6}

7. 1-Д, 2-Г, 3-А, 4-В

Примітка: Можливі неточності, дуже погано видно.

8. Застосовуємо формулу комбінацій (на одній з чорно-білих світлин).

Маємо: 6*5*4! / 1*2*4! =

= 30 : 2 = 15 (букетів)

Відповідь: 15 букетів.

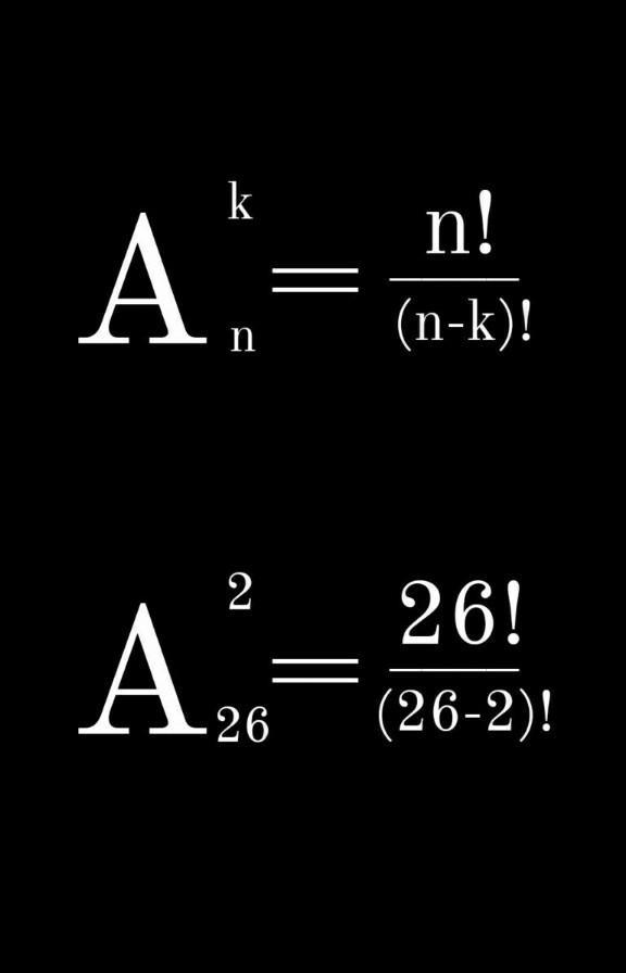
9. Застосовуємо формулу розміщення (на одній з чорно-білих світлин).

Маємо: 26*25*24! / 24! =

= 26*25 = 650 (фотографій)

Відповідь: 650 фотографій.

Приложения:

nikakovalskaya: Пожалуйста.
Похожие вопросы
Предмет: Русский язык, автор: ilyaxdr
Предмет: Обществознание, автор: gghhg1