Предмет: Математика, автор: danilkz535

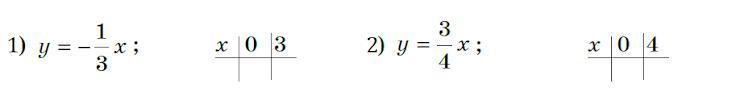
Постройте графики прямой пропорциональности:

Приложения:

Ответы

Автор ответа: aiazhankarbetova
1

Ответ:

вот графики

Пошаговое объяснение:

все правильно

Приложения:
Похожие вопросы
Предмет: Русский язык, автор: draagooonfly
Срочно помогите ееее

Контрольно-измерительные материалы. Русский язык. 6 класс
Егорова Наталия Владимировна
Тест 23. Итоговый тест по теме «Местоимение» Вариант 2
Тест 23. Итоговый тест по теме «Местоимение»

Вариант 2

А1. Какое местоимение является личным?

□ 1) меня

□ 2) кого

□ 3) твой

□ 4) тот

А2. Какие местоимения совпадают по форме с вопросительными?

□ 1) личные

□ 2) неопределённые

□ 3) относительные

□ 4) притяжательные

А3. В каком примере написание раздельное?

□ 1) (сколько)нибудь

□ 2) (что)то

□ 3) (кое)(с)чем

□ 4) (не)сколько

А4. Какое местоимение является неопределённым?

□ 1) ничей

□ 2) никакой

□ 3) некого

□ 4) некто

А5. В каком варианте ответа правильно указаны все цифры, на месте которых пишется буква И?

Н(1)кто н(2) мог меня утешить, и я н(3)которое время н(4) с кем н(5) хотел видеться.

□ 1) 1, 3

□ 2) 1, 4

□ 3) 2, 3, 4, 5

□ 4) 1, 2, 4

А6. Укажите пример с грамматической ошибкой (с нарушением речевой нормы).

□ 1) скучаю по вам

□ 2) самоё себя

□ 3) ничей

□ 4) скóльким

Прочитайте текст и выполните задания В1—В3 и С1.

(1)Туча надвигалась. (2)Всё притихло, как будто ожидало чего-то небывалого. (3) Куда девались эти птицы, что так резво порхали и пели при солнышке? (4)Где насекомые, которые так разнообразно жужжали в траве?

В1. Из предложения (2) выпишите неопределённое местоимение.

В2. Напишите разряд местоимения «которые» из предложения (4).

В3. Напишите, каким членом предложения (3) является местоимение «эти».