Предмет: Алгебра, автор: jtomiris07

упростите выражение помогите пожалуйста​

Приложения:

Ответы

Автор ответа: makinoczerwony
1

я ещё буду дополнять, надеюсь, что успела помочь. точка между скобок знак умножения, если что

Приложения:
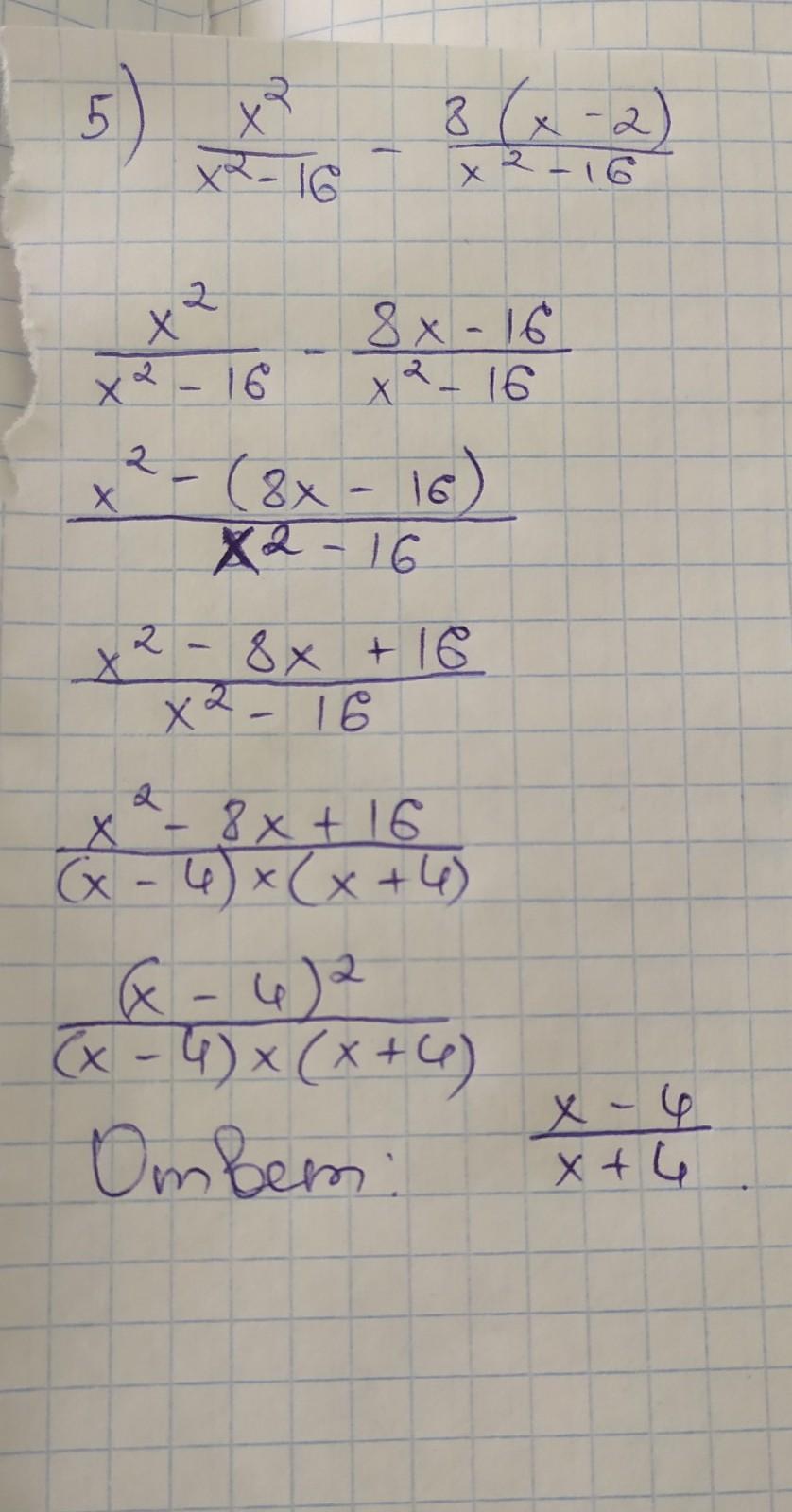
Автор ответа: Universalka
2

5)\frac{x^{2} }{x^{2}-16 }-\frac{8(x-2)}{x^{2}-16 }=\frac{x^{2}-8x+16}{x^{2}-16 }=\frac{(x-4)^{2}}{(x-4)(x+4)}=\boxed{\frac{x-4}{x+4}}\\\\7)\frac{x^{2} }{x^{2}-4 } -\frac{4(x-1)}{x^{2}-4 }=\frac{x^{2}-4x+4 }{x^{2}-4 }=\frac{(x-2)^{2} }{(x-2)(x+2)}=\boxed{\frac{x-2}{x+2}}

Похожие вопросы
Предмет: Русский язык, автор: вм2005