Предмет: Математика,
автор: ishtttt
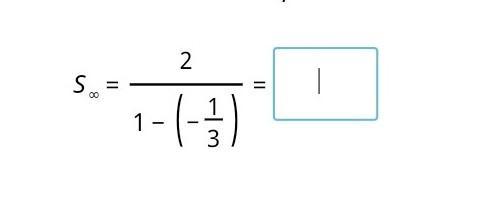
Помогите пожалуйста, сколько тут будет?
Приложения:
Luli2710:
18
Ответы
Автор ответа:
0
Ответ:
3/2 думаю так, але на 100% невпевнена
Похожие вопросы
Предмет: Окружающий мир,
автор: ivanio
Предмет: Английский язык,
автор: sanek200trof
Предмет: Українська мова,
автор: Ілля1111
Предмет: Русский язык,
автор: koroleva2008
Предмет: Математика,
автор: nastea890