Предмет: Математика,
автор: anonim9192
Дам 50 баллов орррррррррррр
Приложения:
Ответы
Автор ответа:
2
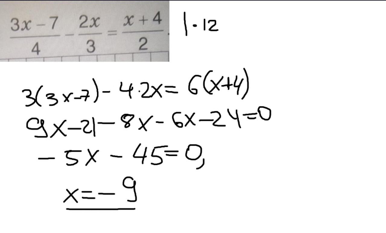
Ответ:
x = -9
Пошаговое объяснение:
Приведено на скриншоте.
Приложения:
Похожие вопросы
Предмет: Русский язык,
автор: գհհհգյօօտեդդ777
Предмет: Русский язык,
автор: patty11
Предмет: Английский язык,
автор: qQWERTY1234
Предмет: История,
автор: hhokage
Предмет: Математика,
автор: RasulDzhaksilikov