Предмет: Математика,
автор: nnnastya1427
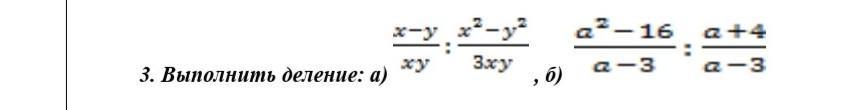
помогите пожалуйста очень срочно
Приложения:
Ответы
Автор ответа:
1
Ответ:
Вот, держи
Пошаговое объяснение:
Тут все по шагам
Приложения:
Похожие вопросы
Предмет: Русский язык,
автор: yyzbey123
Предмет: Русский язык,
автор: аьиюбт
Предмет: Английский язык,
автор: angel5123
Предмет: Русский язык,
автор: mmmmmmmmmmmmmm2
Предмет: География,
автор: ТупаяТянка1