Предмет: Математика,
автор: ncmf8bjgy8
Розвꞌяжить рівняння: 3С_(х+1)^2 + 2х = 4 А_х^2.
Ответы
Автор ответа:
0
Пошаговое объяснение:
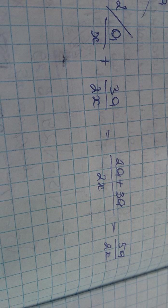
ответ на фотке ------------------
Приложения:
Похожие вопросы
Предмет: Русский язык,
автор: ната1821
Предмет: Қазақ тiлi,
автор: пупок7
Предмет: Русский язык,
автор: krivkod
Предмет: Українська мова,
автор: braen9
Предмет: Биология,
автор: Katya51111