Предмет: Алгебра,
автор: ЯнаКааааааааа
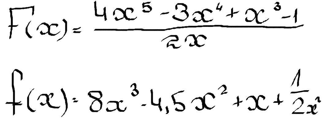
докажите , что функция y=F(x) является первообразной для функции y=f(x) . ПОМОГИТЕ ПОЖАЛУЙСТА ))
Приложения:
Ответы
Автор ответа:
0
Пусть заданы 2 множества Х,У функцией или отображением из Х в У
называется правило, по которому каждому значению их Х ставится в соотвествие
значение из У.
Числовые функции характеризуются тем, что оба множества Х и У являются
подмножествами множества действительных чисел (или совпадают с ними). Область
определения функции - множество возможных значений, которые может принимать
аргумент.
Графиком функции с областью определения называется множетсвщ точек
Г={(x,f(x)|xÎX}. Вот)
Автор ответа:
0
здесь надо найти производную от каждого числа
Автор ответа:
0
а....понятно тогда)
Похожие вопросы
Предмет: Қазақ тiлi,
автор: barekaevave53
Предмет: Биология,
автор: tffyy
Предмет: Қазақ тiлi,
автор: 2ilshat2010
Предмет: История,
автор: 9903083
Предмет: Литература,
автор: Аноним