Предмет: Алгебра,
автор: tikt92909
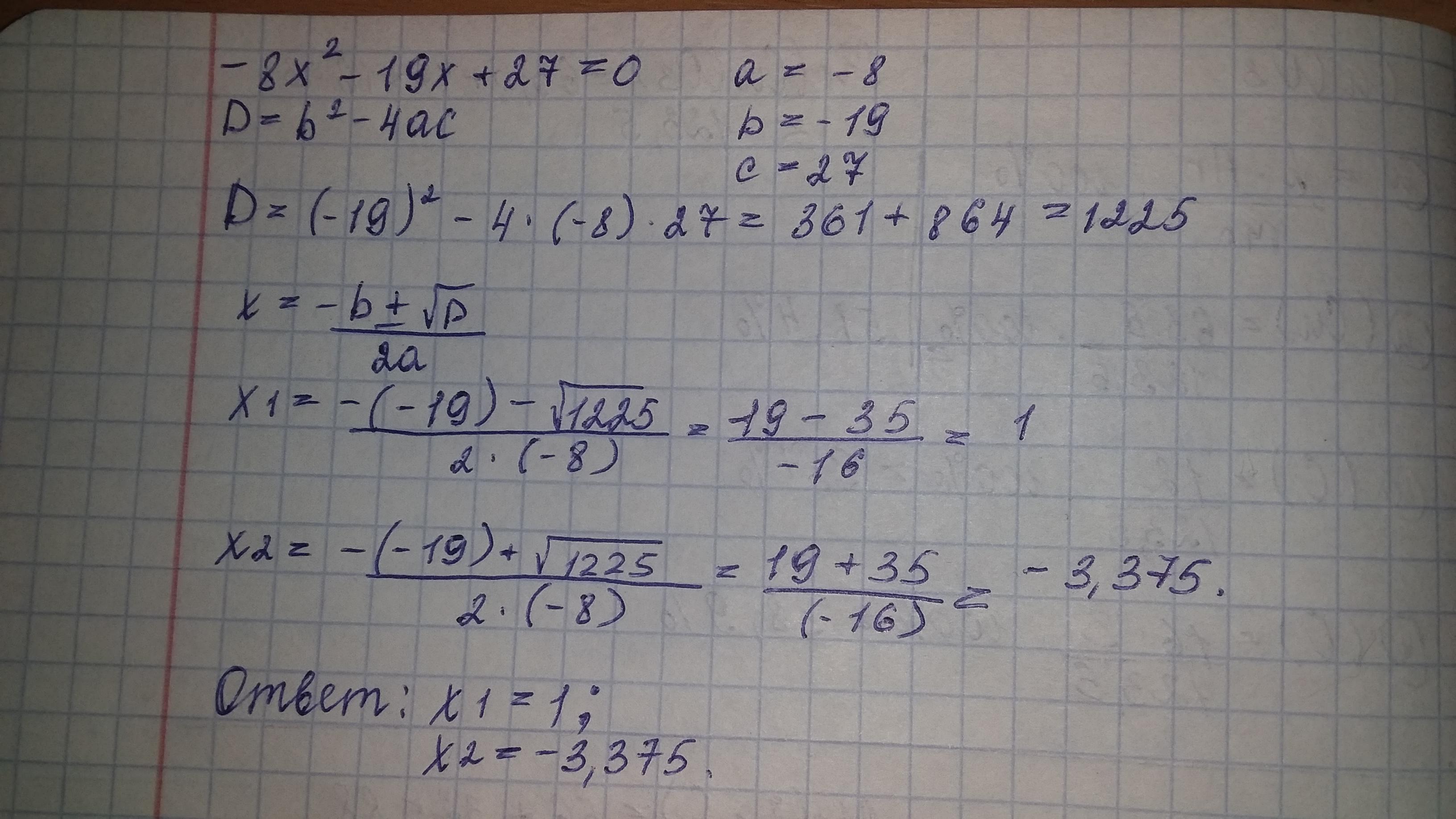
знайдіть корені рівняння -8х²-19х+27=0
Ответы
Автор ответа:
0
вроде x1=-8
x2=27
на фото подробное решение
Приложения:
tikt92909:
пасиб
чтобы найти x1,2 нужно (-b-+ корень из дискриминанта) поделить на 2a
Автор ответа:
0
Ответ:
x1=1
x2=-3,375
Объяснение:
Приложения:
Похожие вопросы
Предмет: Английский язык,
автор: alextana1980
Предмет: Қазақ тiлi,
автор: Alisher11111111
Предмет: Русский язык,
автор: ali42
Предмет: Биология,
автор: Sofiyka360
Предмет: Алгебра,
автор: AnnaMarkeca91