Предмет: Алгебра,
автор: magabois199
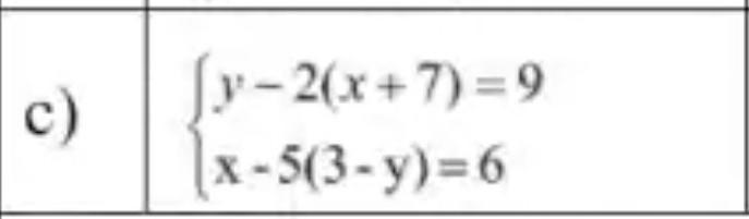
7 Класс . За 1 уравнение (просто ответ,желательно с решением) дам 15 баллов
Приложения:
magabois199:
нужно срочно , прям срочно.
Ответы
Автор ответа:
1
Ответ:
(-94/11, 65/11)
Объяснение:
Приложения:
Похожие вопросы
Предмет: Русский язык,
автор: Dimatiginbaev
Предмет: Русский язык,
автор: межиевахеда
Предмет: Русский язык,
автор: 7m8t9omot
Предмет: Математика,
автор: aniguerdzhian