Предмет: Алгебра, автор: 23357veronika2006

помогите дам 15 баллов​

Приложения:

Aspirant2022: Только упростить, и найти значение?
23357veronika2006: да

Ответы

Автор ответа: Aspirant2022
2

Ответ:

Объяснение:

1) Упрощаем выражение:

\frac{3a^2+6a}{a^2-9}-\frac{2a}{a-3}\\\frac{3a^2+6a}{(a-3)(a+3)}-\frac{2a}{a-3}\\\frac{3a^2+6a}{(a-3)(a+3)}-\frac{2a(a+3)}{(a-3)(a+3)}\\\frac{3a^2+6a-2a(a+3)}{(a-3)(a+3)}\\\frac{3a^2+6a-2a^2-6a}{(a-3)(a+3)}\\\frac{a^2}{(a-3)(a+3)}\\\frac{a^2}{a^2-9}\\

2) Находим его значение при a=\frac{1}{3}\\:

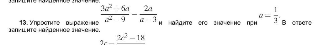
\frac{(\frac{1}{3})^2}{(\frac{1}{3})^2-9}\\\frac{\frac{1}{9}}{\frac{1}{9}-9}\\\frac{\frac{1}{9}}{-8\frac{8}{9}}\\-\frac{\frac{1}{9}}{\frac{80}{9}}\\-\frac{1*9}{9*80}=-\frac{1}{80}\\

Похожие вопросы
Предмет: Русский язык, автор: Анютка2516