Предмет: Математика,
автор: oliapidpala
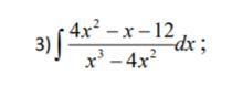
Найти неопределенный интеграл
Приложения:
Ответы
Автор ответа:
0
Ответ:
я сам хз я в 6 классе
Пошаговое объяснение:
самому бы знать
Похожие вопросы
Предмет: Русский язык,
автор: БПАН186RUS
Предмет: Русский язык,
автор: vrangaeva
Предмет: Немецкий язык,
автор: 552364234543323
Предмет: Математика,
автор: Букса1
Предмет: Информатика,
автор: rtron2003