Предмет: Математика,
автор: heheh5028
Решите пожалуйста. Даю 13 баллов.
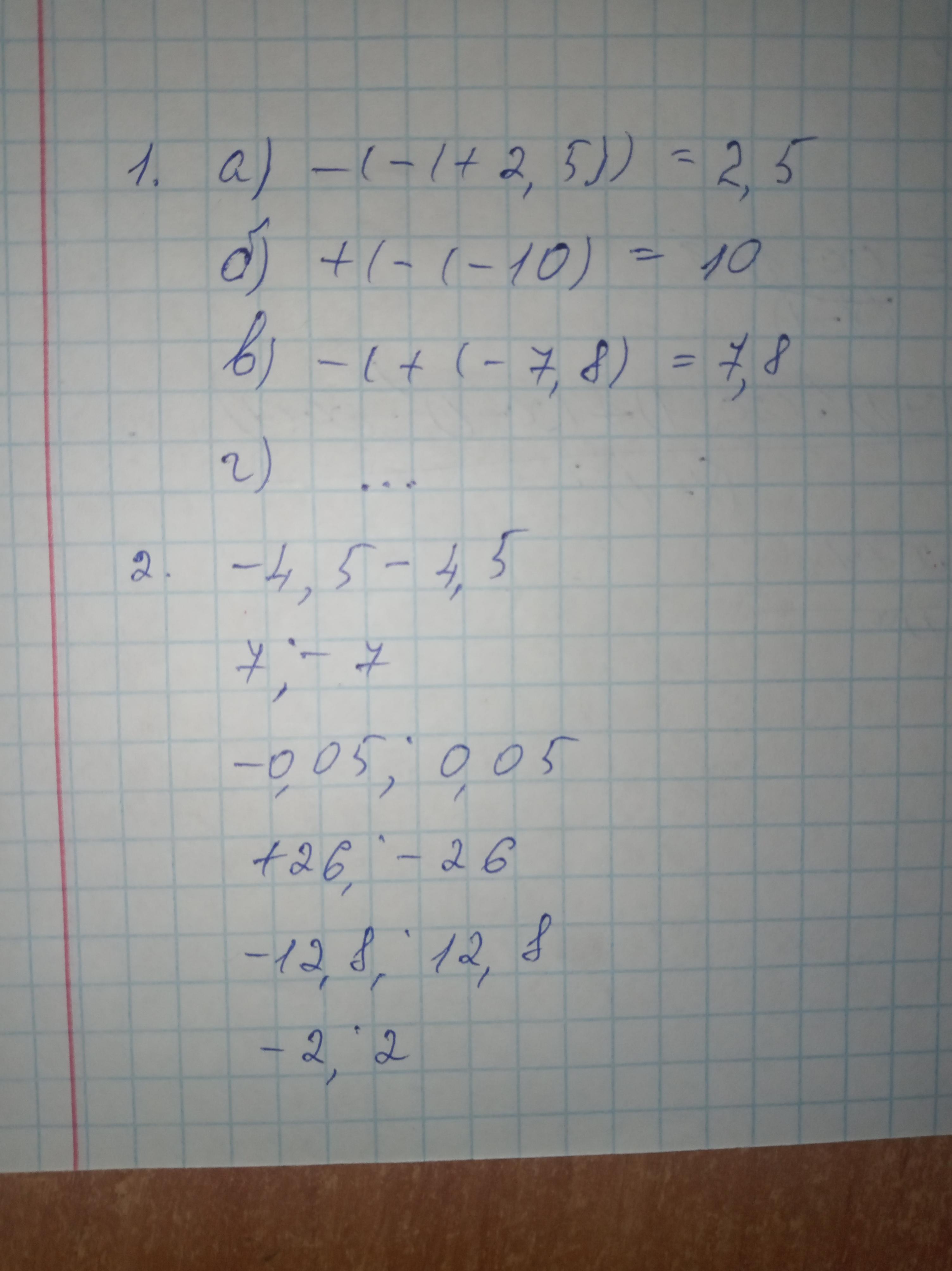
1. Упростите запись:
а) - ( - (+2,5))
б) + ( -(-10))
в) – ( + (-7,8))
г) + (- (+
2. Запишите число, противоположное каждому из чисел:
-4,5; 7 ; - 0,05; +26; -12,8; - 2
Ответы
Автор ответа:
1
Відповідь: на фото
Покрокове пояснення:
Приложения:
Похожие вопросы
Предмет: Русский язык,
автор: vitpukin
Предмет: Русский язык,
автор: Evelinas567
Предмет: Другие предметы,
автор: Лиза1103
Предмет: История,
автор: Р5т1
Предмет: Алгебра,
автор: nastenka040716