Предмет: Алгебра,
автор: Аноним
50 БАЛЛОВ!!!
помогите пож. это очень срочно, через 20 мин конец!!
Приложения:
Ответы
Автор ответа:
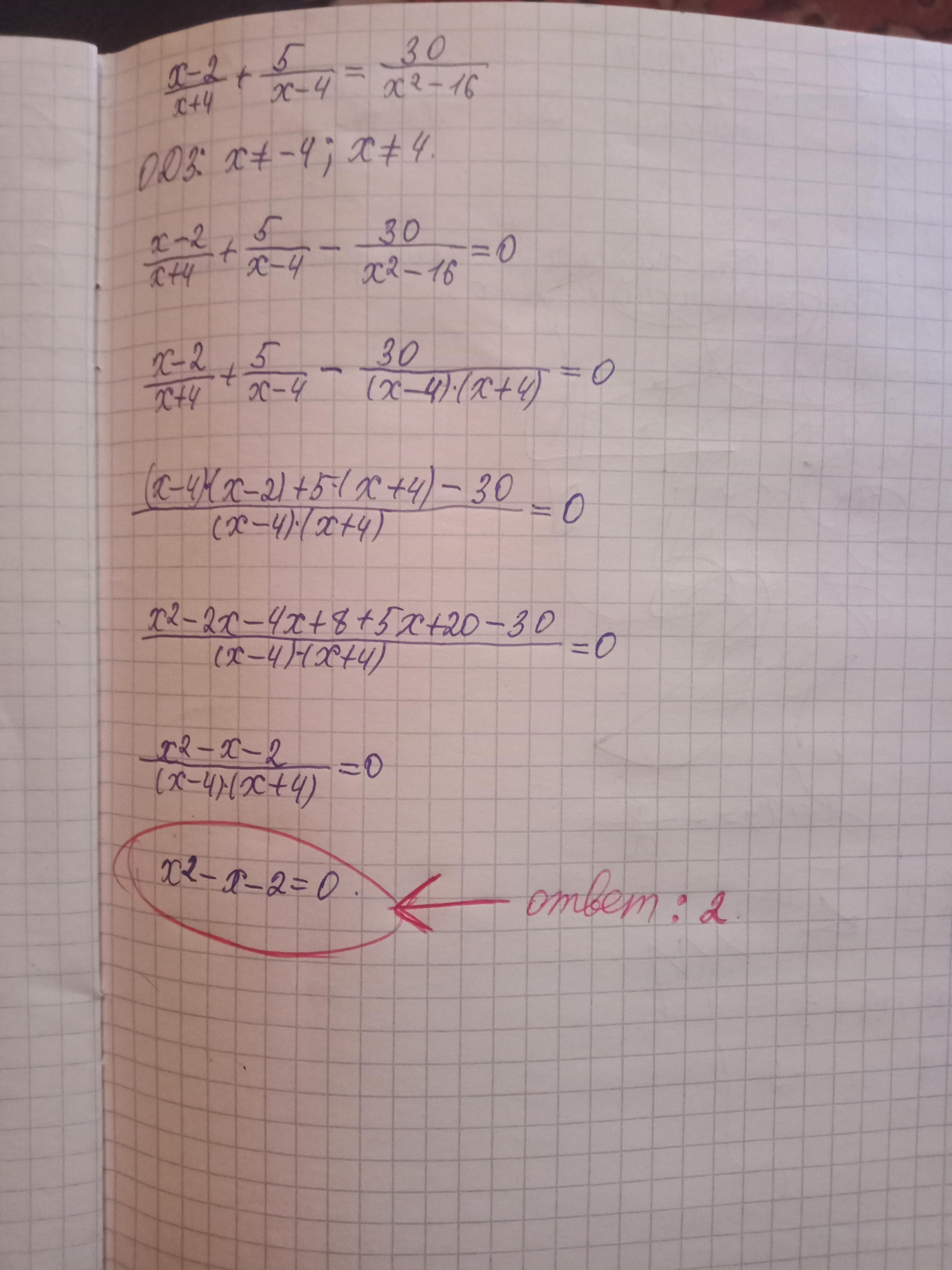
3
Ответ: 2
Объяснение: на фото
Отметьте пожалуйста лучшим решением и поставьте сердечко
Приложения:
Аноним:
спасибо большое!)
Похожие вопросы
Предмет: Окружающий мир,
автор: даша322
Предмет: Қазақ тiлi,
автор: DEADKID01
Предмет: Русский язык,
автор: mashafilippovs
Предмет: Математика,
автор: ar7em1
Предмет: Математика,
автор: Аноним