Предмет: Алгебра, автор: amir36mm53

Пожалуйста помогите
3. Найдите аb тождеств 1/4х²-1=а/2х-1 - b/2х+1
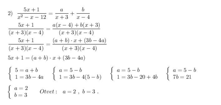
5x+1/x²-x-12=a/x+3 + b/x-4​


amir36mm53: так и сделаю

Ответы

Автор ответа: NNNLLL54
1

Пользуемся тем, что у дробей с равными знаменателями равны и числители . Многочлены в числителях равны, если равны коэффи-циенты при одинаковых степенях .

Приложения:

amir36mm53: спасибо большое
amir36mm53: без вас бы я 2 получил
amir36mm53: как смогу сделаю лучшый ответ
NNNLLL54: просто кнопочку "лучший ответ" нажми, когда она появится
NNNLLL54: кстати, когда нажимаешь "лучший ответ" , то тебе возвращается часть баллов
amir36mm53: я могу сказать я в этом приложении 2 года и знаю не лучше вас но спасибо за информацию которой я уже облодаю давно
Похожие вопросы
Предмет: Английский язык, автор: mashagordeeva49
Предмет: Українська мова, автор: jjjuffffjfjvmvngg