Предмет: Математика, автор: ameliyasattarova09

ПОМОГИТЕ СРОЧНО (математика 5 класс Виленкин)​

Приложения:

Ответы

Автор ответа: nigishka2810
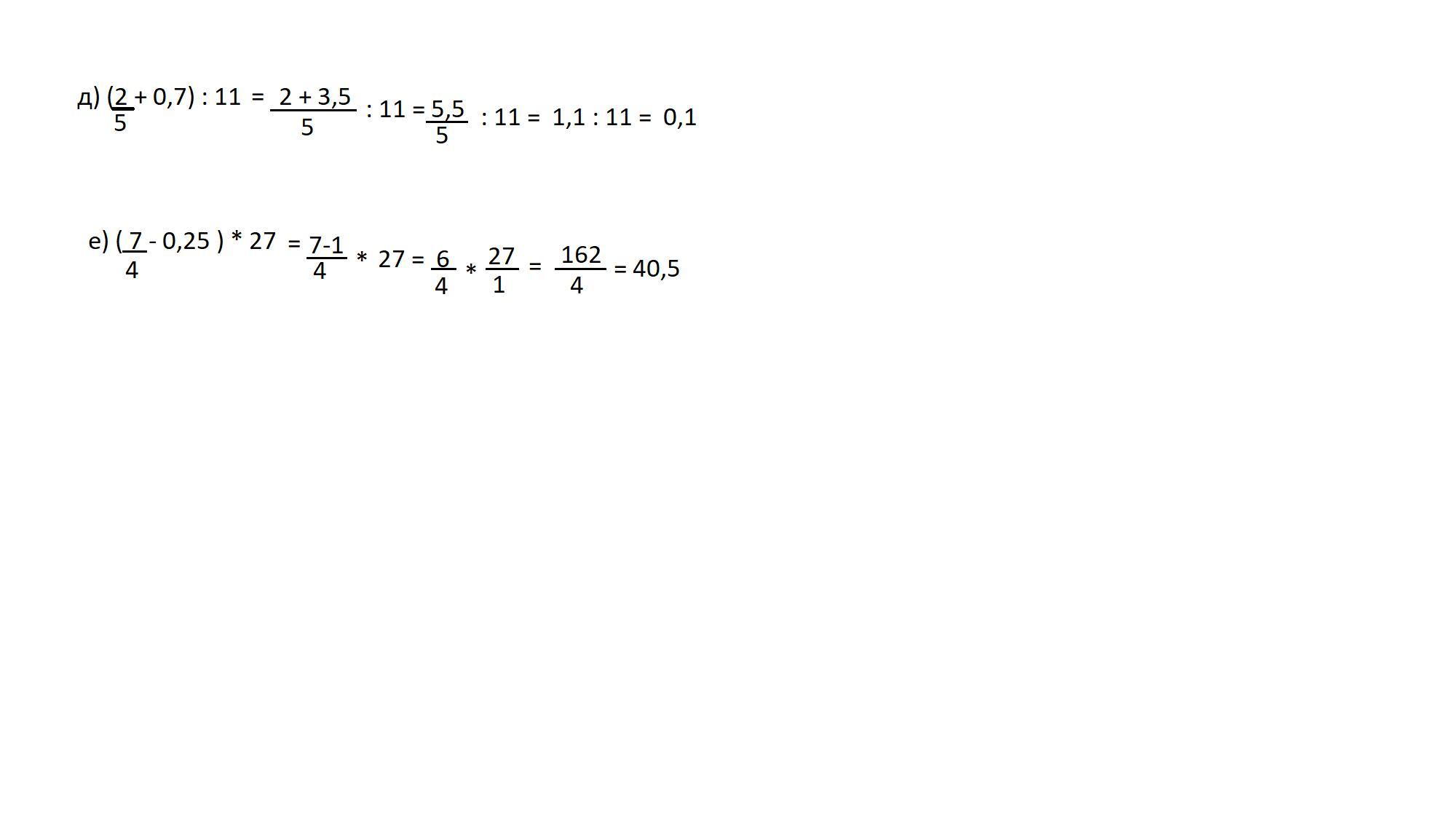
1

Ответ:

д) (2/5+0,7):11=1,1÷11=0,1

е) (7/4-0,25)×27=1,5×27=40,5

Автор ответа: sofiabro2007p02xpo
0

Відповідь:

Покрокове пояснення:

Приложения:
Похожие вопросы
Предмет: Другие предметы, автор: идооьдщлщ
Предмет: Русский язык, автор: Антон22308
Предмет: История, автор: alexlutkov59
1. А которые крестьяне за кем в переписанных книгах прошлых годов и после тех переписанных книг... сбежали или вперед начнут сбегать – тех беглых крестьян, и их детей, и племянников, и внучат с жёнами и с детьми и со всем имуществом отдавать из бегов тем людям, кому они записаны по переписанным книгам... впредь никому чужих крестьян не принимать и за собою не держать... 2. если кто на царское величество злое дело вымысил... казнить. 3. если кто... вздумает Московским государством завладеть и государем быть и для того своего злого умышления начнёт рать собирать... казнить. 1 объясните смысл положения, приведенного под цифрой 1. В чем состоит его новизна? Предположите, как оно было воспринято разными слоями населения страны. 2. Какое значение имели положения под цифрами 2 и 3? Как вы думаете, чем могло быть вызвано их появление?