Предмет: Математика,
автор: kdmkaa19
Первый кран наполняет бассейн за 12 часов, второй кран - за 6 ч. Сколько часов нужно, чтобы два крана наполнили 8/7 бассейна?
Садовник собрал яблоки трех сортов соответственно: 135 кг, 180 кг и 225 кг. Не смешивая три сорта, садовник собрал яблоки в ящик. Найдите яблоки наибольшей возможной массы в одном ящике.
Ответы
Автор ответа:
1
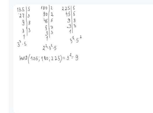
надо найти наибольший общий делитель для чисел (135;180;225)
чтобы разложить в одинаковые ящики надо найти надо найти наибольший общий делитель для чисел (135;180;225)
чтобы разложить в одинаковые ящики надо найти НОД(135;180;225).
Пошаговое объяснение:надо найти наибольший общий делитель для чисел (135;180;225)
Пошаговое объяснение:
разложение на множители и нахождение НОД записано внизу.Чтобы найтиНОД надо из разложения чисел выписать делители, которые встречаются в каждом разложении .НОД(135;180;225)=9 ,значит все фрукты можно разложить в ящики по 9 кг.
Приложения:
kdmkaa19:
В задание же не написано,что,по сколько кг фруктов можно положить в ящик!?
Похожие вопросы
Предмет: Русский язык,
автор: Элька1020
Предмет: Русский язык,
автор: rasihina1977
Предмет: Русский язык,
автор: Анара1984
Предмет: Английский язык,
автор: АняТян11111