Предмет: Математика,
автор: Аноним
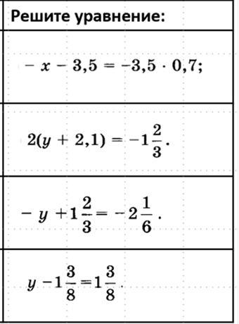
Решите уравнения, надо хотя бы одно) Желательно с обьяснением. Мама не может оплатить мне дополнительные занятия по математике поэтому обращаюсь к вам. По математике у меня оценка 3
Приложения:
Ответы
Автор ответа:
1
Ответ:
Пошаговое объяснение:
Приложения:
Похожие вопросы
Предмет: Русский язык,
автор: мага1212
Предмет: Английский язык,
автор: MrFreeman1111
Предмет: Английский язык,
автор: БАНДЖО
Предмет: Математика,
автор: mschibarova201
Предмет: Окружающий мир,
автор: alinamax2007