Предмет: Алгебра,
автор: 14griezmann
Знайдіть екстремуми функції f(x)=x³ - 3x. *
fmin =2; fmax = -2
fmin = 16; fmax = -16
fmin =-16; fmax = 16
fmin =-2; fmax =2
Знайдіть проміжок зростання функції f(х) = 24х - 2х³. *
( - ∞; - 2] і [ 2; +∞)
( - ∞; 2]
[ -2; 2]
[ 0; 4]
Укажіть проміжок спадання функції f(х), якщо її похідна дорівнює х-5. *
x<5
x>5
x> -5
всі числа
Знайдіть екстремуми функції f(x)=2x³ +3x² - 4. *
Xmin = 0; Xmax = -1
Xmin = -2; Xmax = 2
Xmin = 2; Xmax = - 2
Xmin = 0; Xmax = 1
Знайдіть проміжок спадання функції f(х) = -81х + 3х³. *
[ 0; 9]
( - ∞; 3]
( - ∞; - 3] і [ 3; +∞)
[ - 3; 3]
Укажіть проміжок зростання функції f(х), якщо її похідна дорівнює х+7. *
x> -7
x< 7
x> 7
всі числа
Знайдіть максимум функції f(x)= x³ -6x² + 5 *
3
2
4
0
Знайдіть точки екстремуму функції f(x)=5 +12 х -x³.
Xmin = 0; Xmax = -1
Xmin = -2; Xmax = 2
Xmin = 2; Xmax = -2
Xmin =0; Xmax = 1
Напишіть прізвище та ім'я *
Знайдіть критичні точки функції: f(х) =2х³ - 15x² + 36x. *
2; 3
-1; 0
0; 4
2; -3
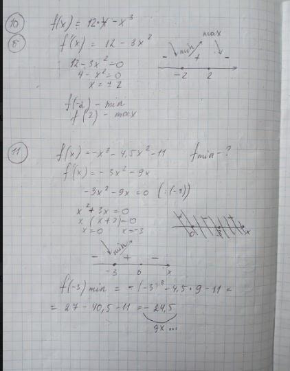
Знайдіть екстремуми функції f(x)=12 х -x³. *
fmin =2; fmax = -2
fmin = -2; fmax = 2
fmin =-16; fmax = 16
fmin =16; fmax = -16
Знайдіть мінімум функції f(x) = -x³ - 4.5x² -11 *
-27
-40.5
-3
0
Знайдіть критичні точки функції: f(х) =x^4 - 4x³ -8x² + 1. *
1;0;5
-1;0;5
1;0;4
-1;0;4
Ответы
Автор ответа:
1
Ответ:
Объяснение:
в 11м пересчитай плыз
Приложения:
Похожие вопросы
Предмет: Русский язык,
автор: dashulaknyaz
Предмет: Русский язык,
автор: dashulaknyaz
Предмет: Русский язык,
автор: anna2015g
Предмет: География,
автор: alisaandalisa
Предмет: Алгебра,
автор: widow93