Предмет: Алгебра, автор: lera56789580

Надо только сделать а и в Пожалуйста помогите ​

Приложения:

volobuevyan: скачай foromach на телефон там сразу все решит я так впр все писал

Ответы

Автор ответа: SvePap
1

27.7 a)

(3m ^{3}  + 5)(3m ^{2}  - 10)  =

9m ^{5}  - 30m ^{2}  + 15m ^{2}  - 50

в)

(5k ^{4}  + 5)(6k ^{2}  - 1) =

30k ^{6}  - 5k ^{4}  + 12k ^{2}  - 2

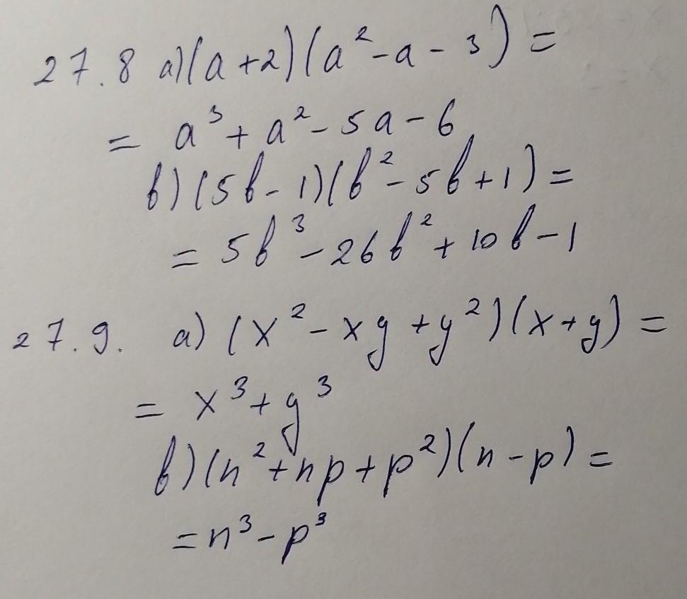
27.8 и 27.9 на фото

Приложения:

SvePap: Это 27.7
lera56789580: а где 27.8 и 27.9
SvePap: сейчас будет
Похожие вопросы