Предмет: Алгебра,
автор: dianaazhmahan008
Помогите по алгебре
Даю 100баллов
Приложения:
Ответы
Автор ответа:
1
Ответ:
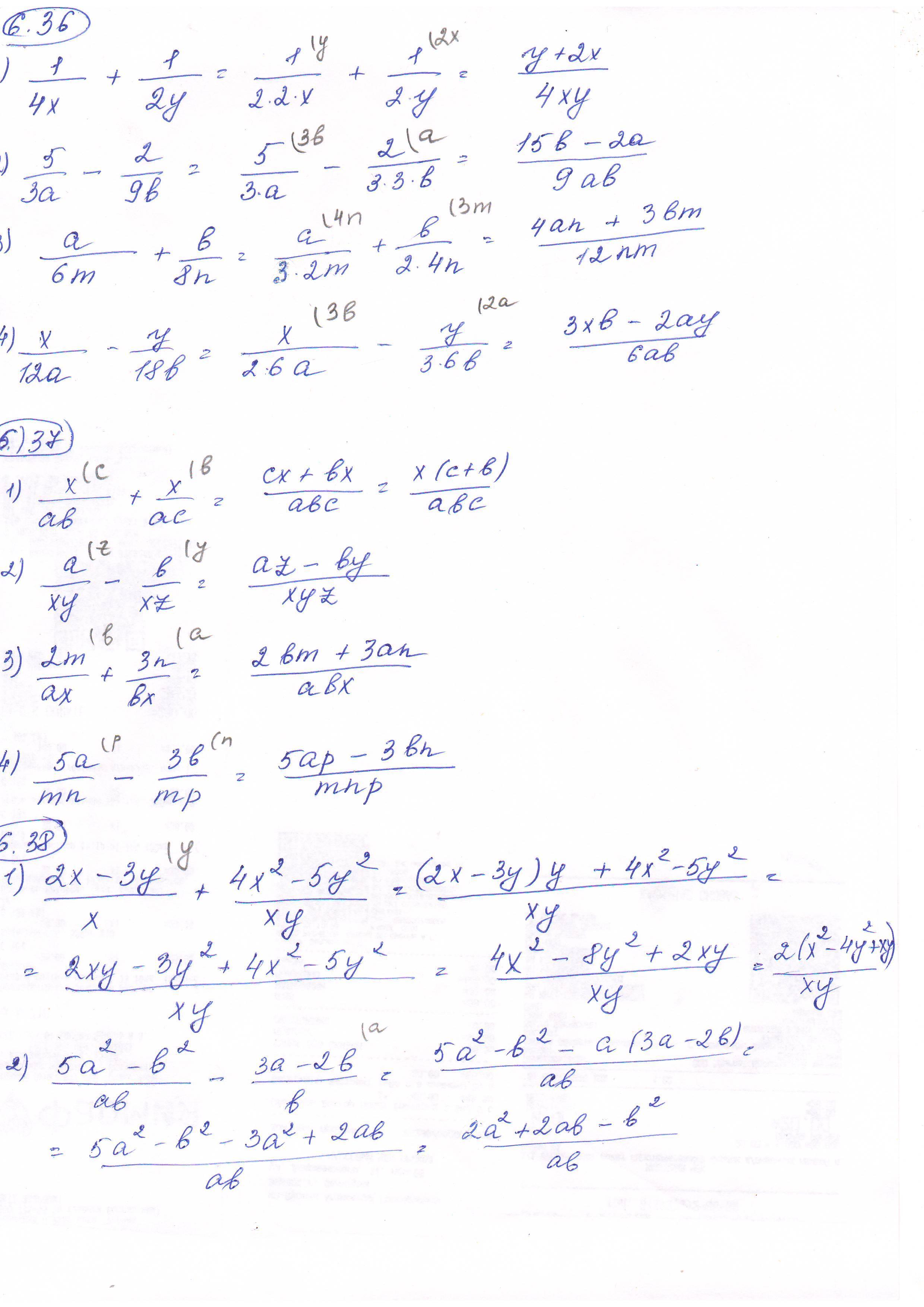
Решение на фото
Объяснение:
Решила все примеры, так как не поняла выделенные - нужно решить или уже решены.
Приложения:
dianaazhmahan008:
☺️ спасибо большое❤️
Похожие вопросы
Предмет: Русский язык,
автор: хааадииии
Предмет: Английский язык,
автор: Natusj
Предмет: Русский язык,
автор: boranovaalya
Предмет: Информатика,
автор: simaworyanarsen
Предмет: Математика,
автор: donatagavrilova