Предмет: Алгебра,
автор: Irynakoval11
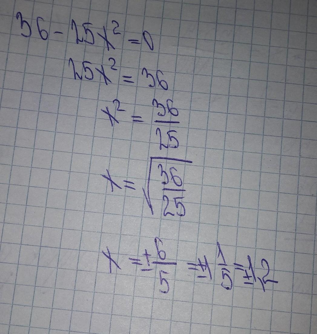
36-25x2=0 (х2 це в квадраті )
Ответы
Автор ответа:
1
36-25х²=0
(6-5х)(6+5х)=0
6-5х=0 или 6+5х=0
5х=6 или 5х=-6
х1 = 1(1/5)
х2 = - 1(1/5)
Автор ответа:
1
Ответ:
1,2; -1,2
Объяснение:
на фото:::::::::::::::::
Приложения:
Coldflash:
красотка
❤️
Похожие вопросы
Предмет: Немецкий язык,
автор: veronikasalama
Предмет: Другие предметы,
автор: bozhenko74
Предмет: Русский язык,
автор: PrO100VIKA100
Предмет: Русский язык,
автор: mariasfh
Предмет: Другие предметы,
автор: olecsandra20081