Предмет: Математика,
автор: Arturka88855566
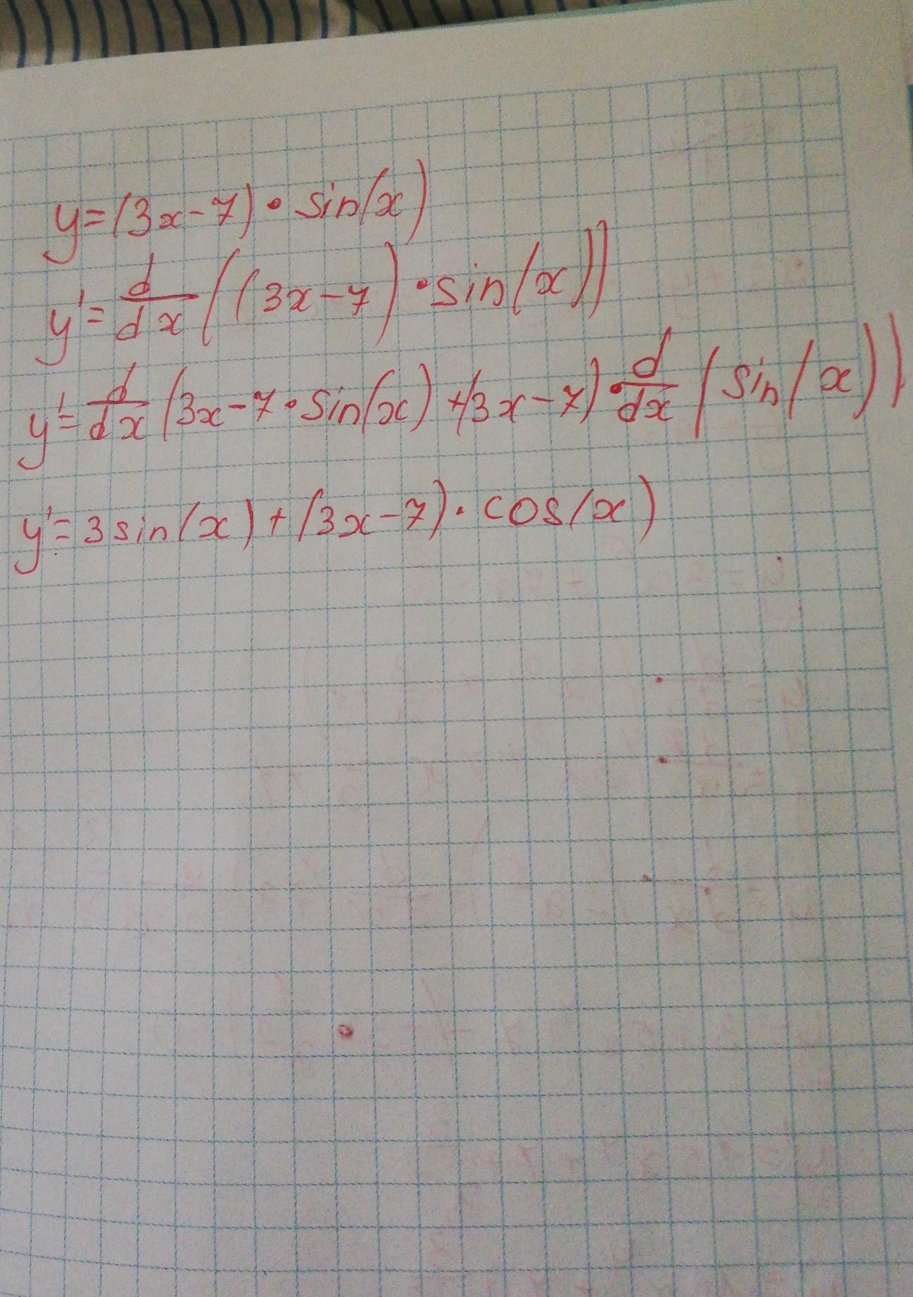
Y=(3x-7)*sin(x) знайти похідну
Ответы
Автор ответа:
4
Ответ:
сподіваюся вся зрозуміло(розв'язання на фото)
Приложения:
Похожие вопросы
Предмет: Русский язык,
автор: alyonaaaaa92
Предмет: Русский язык,
автор: Pingvin125
Предмет: Другие предметы,
автор: linazhirkova
Предмет: Математика,
автор: DashaBlaiz
Предмет: Литература,
автор: Ego231623