Предмет: Алгебра,
автор: nellypozinskaya
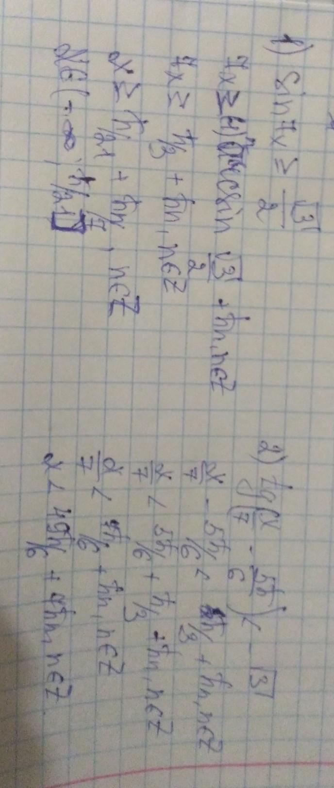
Помогите решить неравенства по алгебре
Приложения:
Ответы
Автор ответа:
1
Ответ:
Вот, если что-то не понятно пиши
Приложения:
nellypozinskaya:
Спасибо, вы мой спаситель
Похожие вопросы
Предмет: Українська література,
автор: nanh
Предмет: Русский язык,
автор: joliu
Предмет: Русский язык,
автор: Raidanan
Предмет: Физика,
автор: ps5515153
Предмет: Русский язык,
автор: Šønë4kå