Предмет: Алгебра,
автор: ЛеммингЛеня
Помогите пожалуйста с алгеброй! Даю 80 баллов. Срочно
Приложения:
Ответы
Автор ответа:
2
Ответ:
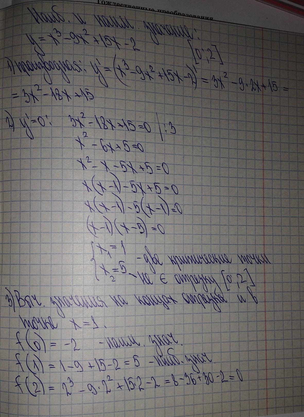
наименьшее значение в точке х=0
наибольшее значение х=1
Объяснение:
на фото.
если даже посмотреть по графику, то видно что на промежутке от 0 до 2 график достигает нижнюю точку при х=2 и высшую точку при х=0
Приложения:
ЛеммингЛеня:
А что за "|:3" ??
Там где 2) y=0: 3x^2-18x+15=0
все уравнение делим на 3, чтобы сократить: 3х^2:3=х^2; 18х:3=6х; 15:3=5
ты молодец
❤️
Похожие вопросы
Предмет: Русский язык,
автор: MorozovaVika2001
Предмет: Русский язык,
автор: Няшка740
Предмет: Русский язык,
автор: Aselya27081985
Предмет: Химия,
автор: YouBro17