Предмет: Алгебра,
автор: Kkkkkattttya
Даю 75 баллов, прошу, помогите, задание 7 класс
Приложения:
Ответы
Автор ответа:
1
Ответ:
Объяснение: 668) a) x^2+2x-3=-3 тогда x^2+2x=0 x(x+2) =0 x1=-2 ; x2=0 b) x^2+2x-3=-4 x^2+2x+1 формула сокр-го умножения (x+1)^2=0 x=-1
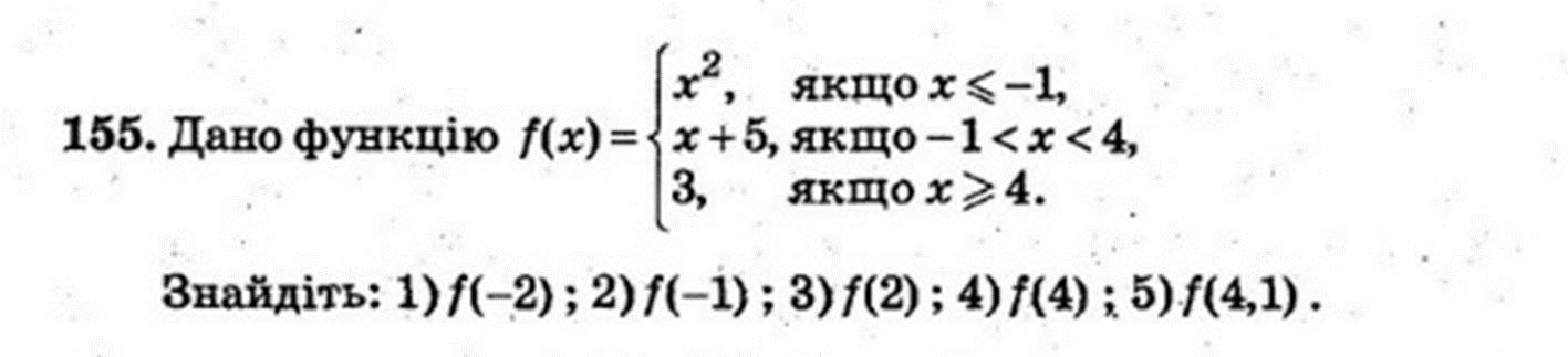
15)1) f(-2) то x^2=(-2)^2=4 , 2)f(-1) =1 3) f=2 тогда x+5 =3 4) f(4)=3 5) f(4,1)=3
Похожие вопросы
Предмет: Русский язык,
автор: 658oug5t6sh
Предмет: Другие предметы,
автор: Аноним
Предмет: Русский язык,
автор: вика20064
Предмет: Математика,
автор: StrontiumV
Предмет: Українська література,
автор: divedmesh