Предмет: Алгебра,
автор: Аноним
1 фото Выполните умножение многочленов
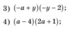
2 фото представте в виде многочлена выражения
3 фото представте в виде многочлена выражения
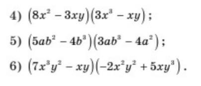
4 фото запишите пройзведение в виде многочлена
Приложения:
Ответы
Автор ответа:
1
Объяснение:
ну как то так но примерно
Приложения:
Похожие вопросы
Предмет: Окружающий мир,
автор: сеня44
Предмет: Русский язык,
автор: DANYOUTUBER111
Предмет: Русский язык,
автор: nataliskazka74
Предмет: Химия,
автор: Жопка228822
Предмет: Математика,
автор: MirayKuriyama