Предмет: Геометрия,
автор: blfrogh
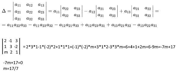
при каком значении m векторы a=(2;-1;3), b=(1;3;-2) и c=(m;2;1) будут компланарны?
Ответы
Автор ответа:
0
Ответ:
Векторы a b и c будут компланарны, если их смешанное произведение будет равно нулю. Нужно найти определитель матрицы размерности 3х3
Приложения:
Похожие вопросы
Предмет: Русский язык,
автор: Катюшенция105
Предмет: Технология,
автор: Аноним
Предмет: Русский язык,
автор: Наиля84
Предмет: Другие предметы,
автор: 000000kot000000
Предмет: Математика,
автор: Natalykasy