Предмет: Математика,
автор: vika87778
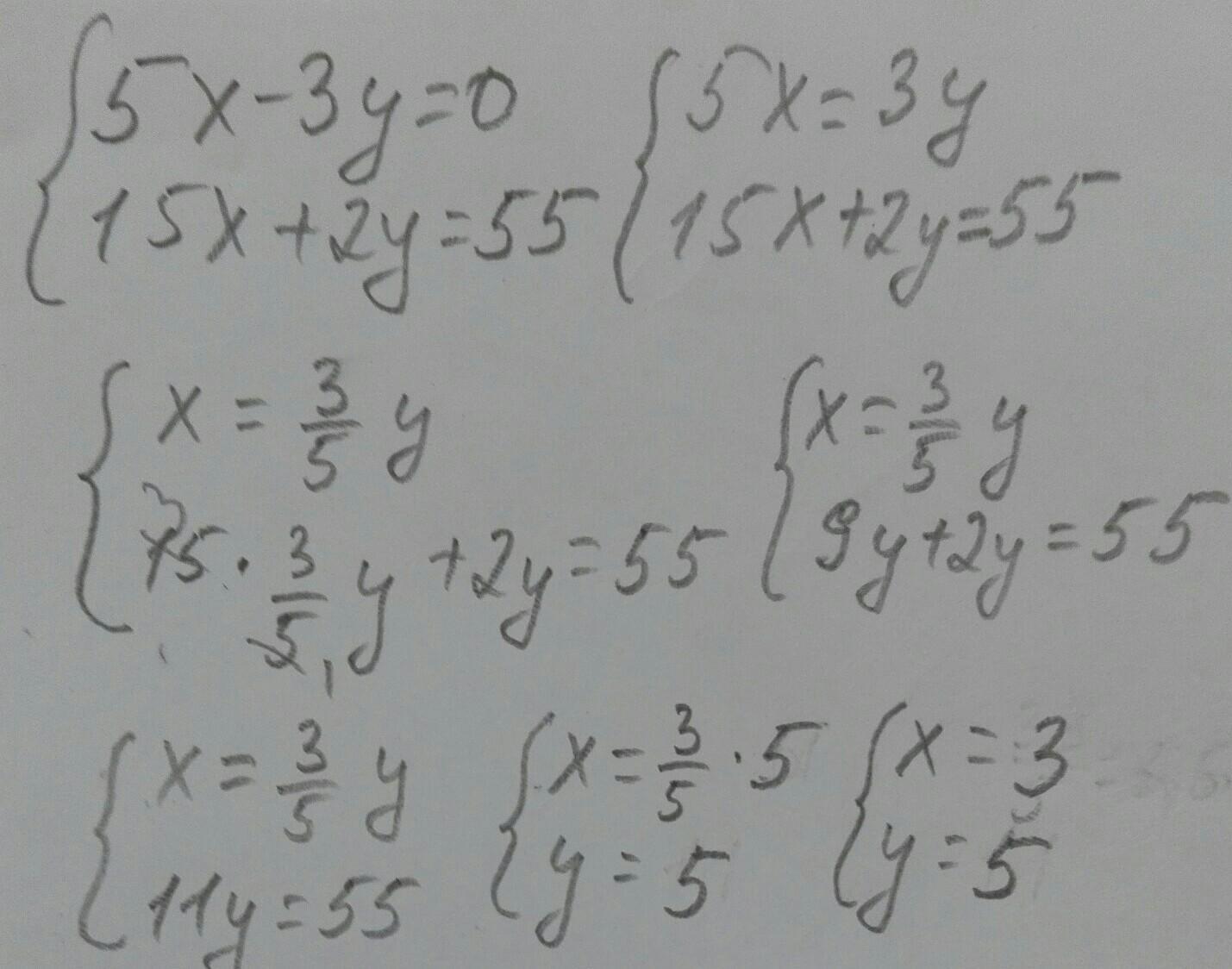
розв'язати систему способом підстановки а)5х-3у=0,
15х+2у=55
Ответы
Автор ответа:
1
Ответ:
розв'язати систему способом підстановки
Приложения:
Похожие вопросы
Предмет: Другие предметы,
автор: БЛГ
Предмет: Английский язык,
автор: lanazavarza
Предмет: Русский язык,
автор: 222nj
Предмет: Английский язык,
автор: Александра160803
Предмет: Математика,
автор: Vlada20055