Предмет: Алгебра,
автор: pglebov644
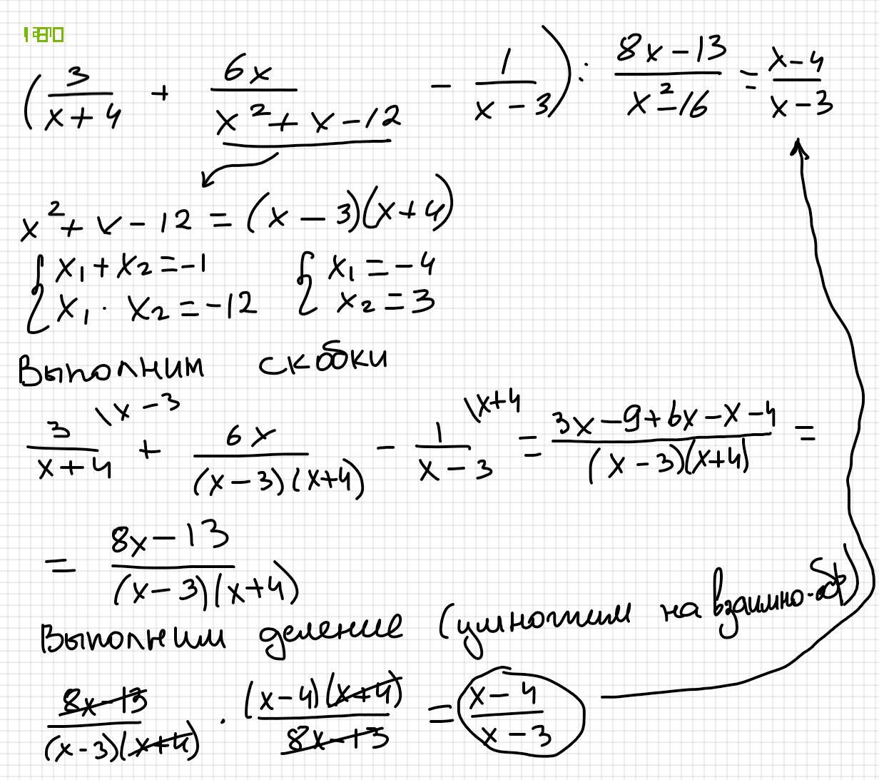
Упростите выражение в номере 4
Приложения:
Ответы
Автор ответа:
1
Ответ:
Объяснение:
на скрине
Приложения:
Автор ответа:
1
Объяснение:
на фотографии........
Приложения:
Похожие вопросы
Предмет: Русский язык,
автор: Аноним
Предмет: Қазақ тiлi,
автор: golovkovv83
Предмет: Қазақ тiлi,
автор: ДонаМухамедшарипова
Предмет: Окружающий мир,
автор: shishmarevalexozkrko
Предмет: Математика,
автор: egorhismatov456123